欢迎来到CEOB2B晶振平台

咨询热线:

0755-27839045

日产进口晶振 :
KDS晶振KDScrystal
爱普生晶振EPSONcrystal
NDK晶振NDKcrystal
京瓷晶振KyoceraCrystal
精工晶振SEIKOcrystal
西铁城晶振CITIZENcrystal
村田晶振MurataCrystal
大河晶振RiverCrystal
富士晶振FujicomCrystal
SMI晶振SMICrystal
NAKA晶振NAKACrystal
NJR晶振NJRCrystal
中国台产晶振 :
泰艺晶振TAITIENcrystal
TXC晶振TXCcrystal
鸿星晶振HOSONICcrystal
希华晶振SIWARDcrystal
加高晶振HELEcrystal
百利通亚陶晶振DiodesCrystal
嘉硕晶振TSTcrystal
津绽晶振NSKcrystal
玛居礼晶振MERCURYcrystal
应达利晶振Interquip Crystal
AKER晶振
NKG晶振NKGCrystal
欧美石英晶振 :
CTS晶振CTScrystal
微晶晶振Microcrystal
瑞康晶振RakonCrystal
康纳温菲尔德ConnorWinfield
高利奇晶振GolledgeCrystal
Jauch晶振JauchCrystal
AbraconCrystalAbraconCrystal
维管晶振VectronCrystal
ECScrystal晶振ECScrystal
日蚀晶振ECLIPTEKcrystal
拉隆晶振RaltronCrystal
格林雷晶振GreenrayCrystal
SiTimeCrystalSiTimeCrystal
IDTcrystal晶振IDTcrystal
Pletronics晶振PletronicsCrystal
StatekCrystalStatekCrystal
AEK晶振AEKCrystal
AEL晶振AELcrystal
Cardinal晶振Cardinalcrystal
Crystek晶振Crystekcrystal
Euroquartz晶振Euroquartzcrystal
福克斯晶振FOXcrystal
Frequency晶振Frequencycrystal
GEYER晶振GEYERcrystal
ILSI晶振ILSIcrystal
KVG晶振KVGcrystal
MMDCOMP晶振MMDCOMPcrystal
MtronPTI晶振MtronPTIcrystal
QANTEK晶振QANTEKcrystal
QuartzCom晶振QuartzComcrystal
QuartzChnik晶振QuartzChnikcrystal
SUNTSU晶振SUNTSUcrystal
Transko晶振Transkocrystal
WI2WI晶振WI2WIcrystal
韩国三呢晶振SUNNY Crystal
ITTI晶振ITTICrystal
Oscilent晶振OscilentCrystal
ACT晶振ACTCrystal
Lihom晶振LihomCrystal
Rubyquartz晶振RubyquartzCrystal
SHINSUNG晶振SHINSUNGCrystal
PDI晶振PDICrystal
MTI-milliren晶振MTImillirenCrystal
IQD晶振IQDCrystal
Microchip晶振MicrochipCrystal
Silicon晶振SiliconCrystal
富通晶振FortimingCrystal
科尔晶振CORECrystal
NIPPON晶振NIPPONCrystal
NIC晶振NICCrystal
QVS晶振QVSCrystal
Bomar晶振BomarCrystal
百利晶振BlileyCrystal
GED晶振GEDCrystal
菲特罗尼克斯晶振FiltroneticsCrystal
STD晶振STDCrystal
Q-Tech晶振Q-TechCrystal
安德森晶振AndersonCrystal
文泽尔晶振WenzelCrystal
耐尔晶振NELCrystal
EM晶振EMCrystal
彼得曼晶振PETERMANNCrystal
FCD-Tech晶振FCD-TechCrystal
HEC晶振HECCrystal
FMI晶振FMICrystal
麦克罗比特晶振MacrobizesCrystal
AXTAL晶振AXTALCrystal
ARGO晶振
Skyworks晶振
Renesas瑞萨晶振
Dynamic迪拉尼
有源晶振 :
石英晶体振荡器
温补晶振
压控晶振
VC-TCXO晶振
差分晶振
32.768K有源
恒温晶振
贴片晶振 :
5070晶振
6035晶振
5032晶振
3225晶振
2520晶振
2016晶振
1612晶振
1210晶振
8045晶振
32.768K晶振 :
10.4x4.0晶振
8.0x3.8晶振
7.1x3.3晶振
7.0x1.5晶振
5.0x1.8晶振
4.1x1.5晶振
3.2x1.5晶振
2.0x1.2晶振
1.6x1.0晶振
为你解决国内外知名品牌产品料号代码,查询对照

在线品牌会员

当前位置首页 » 关于我们 » 压电石英晶体技术资料 » 测试分析石英晶振腐蚀率系数

测试分析石英晶振腐蚀率系数

返回列表 来源:CEOB2B晶振平台 浏览:- 发布日期:2018-05-18 09:27:59【

石英晶振是一种频率元件,为电路提供频率信号源,是如今智能产品都会用到的一种电子元件.选用一款晶振产品至关重要,除了频率,电阻,体积这些参数之外,晶振的老化率,抗振性,腐蚀系数也是我们需要了解的一部分,下文CEOB2B晶振平台所讲述的就是测试分析石英晶振腐蚀率系数.

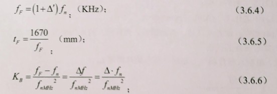
2.3计算腐蚀频率fF、腐蚀后厚度tF及被银系数KB

3.6.4

然后再用tF的值代入式(3.6.3)中,再算出,再代入式(3.6.4)代替再算出fF,再计算出KB

2.4根据最后研磨(或滚倒)砂号及石英晶振频率段按表3.6.3选取腐蚀系数KF

腐蚀系数KF根据如下推算而得:

3.6.7

把式(3.6.7)两边平方得:

F2

变换后得:

KF

并代入,(3.6.9)得:

3.6.10

(3.6.11)中的△t’石英晶体的破坏层深度,当△t’=0.275D(D为最后研磨砂子的粒径)时,石英片表面将呈现完整的晶粒,例如当最后研磨砂子的粒径为5μm(W5)时,其破坏层深度

t=0.275D=1.3754μm,则腐蚀系数KF为:

3.6.12

这是在式(3.6.10)中的△f的单位为KHz,而f的单位为MHz时的情况。

3.6.3腐蚀系数KF

表3.6.3腐蚀系数KF

2.4.1最后研频率fy或滚倒后的频率fG按下式计算:

fy(fG)=fF-KF×f2nMHz (kKHz)          b                                 (3.6.13)

2.4.2研磨后的厚度ty与滚倒后的厚度tG按下式计算

1)fn3.2~4.0MHz(平倒片)

3.6.14

2)fn>4.0~7.0MHz(平倒片)

3.6.15

3)fn>7.0~12.0MHz(平倒片)

3.6.16

4)fn在≥12MHz(平面片)

3.6.17

附注1

为了使单面银层厚度最薄时达到τemin800A,根据频率高低不同,计算时设定银层厚度τe也不同,其计算方法如下:

首先设定银层厚度τe,计算银层返回系数△,并计算腐蚀晶振频率fF=(1+)·fn及其误差士0.15fn2MHz,得最小腐蚀频率fFmin,根据被银频率的最大正误差3f,得最大被银频率fBmax=fn+f,( fFmin-fBmin )/fn得△',再计算最薄的银层厚度τemin

tem

使τemin800A~950A之间即可确认设定银层厚度τemin

附注2

实际应用的腐蚀系数KF的确定。首先根据最后研磨砂号确定理论腐蚀系数KF

根据终磨或滚倒频率的正误差△fy除以f2nMHz得△Ky,根据腐蚀石英贴片晶振频率的负误差计算kf=实际应用的腐蚀系数为KF=KF’+Ky’+KF。其意义在于使每片石英片的腐蚀系数至少达到理论腐蚀系数。