欢迎来到CEOB2B晶振平台

咨询热线:

0755-27839045

日产进口晶振 :
KDS晶振KDScrystal
爱普生晶振EPSONcrystal
NDK晶振NDKcrystal
京瓷晶振KyoceraCrystal
精工晶振SEIKOcrystal
西铁城晶振CITIZENcrystal
村田晶振MurataCrystal
大河晶振RiverCrystal
富士晶振FujicomCrystal
SMI晶振SMICrystal
NAKA晶振NAKACrystal
NJR晶振NJRCrystal
中国台产晶振 :
泰艺晶振TAITIENcrystal
TXC晶振TXCcrystal
鸿星晶振HOSONICcrystal
希华晶振SIWARDcrystal
加高晶振HELEcrystal
百利通亚陶晶振DiodesCrystal
嘉硕晶振TSTcrystal
津绽晶振NSKcrystal
玛居礼晶振MERCURYcrystal
应达利晶振Interquip Crystal
AKER晶振
NKG晶振NKGCrystal
欧美石英晶振 :
CTS晶振CTScrystal
微晶晶振Microcrystal
瑞康晶振RakonCrystal
康纳温菲尔德ConnorWinfield
高利奇晶振GolledgeCrystal
Jauch晶振JauchCrystal
AbraconCrystalAbraconCrystal
维管晶振VectronCrystal
ECScrystal晶振ECScrystal
日蚀晶振ECLIPTEKcrystal
拉隆晶振RaltronCrystal
格林雷晶振GreenrayCrystal
SiTimeCrystalSiTimeCrystal
IDTcrystal晶振IDTcrystal
Pletronics晶振PletronicsCrystal
StatekCrystalStatekCrystal
AEK晶振AEKCrystal
AEL晶振AELcrystal
Cardinal晶振Cardinalcrystal
Crystek晶振Crystekcrystal
Euroquartz晶振Euroquartzcrystal
福克斯晶振FOXcrystal
Frequency晶振Frequencycrystal
GEYER晶振GEYERcrystal
ILSI晶振ILSIcrystal
KVG晶振KVGcrystal
MMDCOMP晶振MMDCOMPcrystal
MtronPTI晶振MtronPTIcrystal
QANTEK晶振QANTEKcrystal
QuartzCom晶振QuartzComcrystal
QuartzChnik晶振QuartzChnikcrystal
SUNTSU晶振SUNTSUcrystal
Transko晶振Transkocrystal
WI2WI晶振WI2WIcrystal
韩国三呢晶振SUNNY Crystal
ITTI晶振ITTICrystal
Oscilent晶振OscilentCrystal
ACT晶振ACTCrystal
Lihom晶振LihomCrystal
Rubyquartz晶振RubyquartzCrystal
SHINSUNG晶振SHINSUNGCrystal
PDI晶振PDICrystal
MTI-milliren晶振MTImillirenCrystal
IQD晶振IQDCrystal
Microchip晶振MicrochipCrystal
Silicon晶振SiliconCrystal
富通晶振FortimingCrystal
科尔晶振CORECrystal
NIPPON晶振NIPPONCrystal
NIC晶振NICCrystal
QVS晶振QVSCrystal
Bomar晶振BomarCrystal
百利晶振BlileyCrystal
GED晶振GEDCrystal
菲特罗尼克斯晶振FiltroneticsCrystal
STD晶振STDCrystal
Q-Tech晶振Q-TechCrystal
安德森晶振AndersonCrystal
文泽尔晶振WenzelCrystal
耐尔晶振NELCrystal
EM晶振EMCrystal
彼得曼晶振PETERMANNCrystal
FCD-Tech晶振FCD-TechCrystal
HEC晶振HECCrystal
FMI晶振FMICrystal
麦克罗比特晶振MacrobizesCrystal
AXTAL晶振AXTALCrystal
ARGO晶振
Skyworks晶振
Renesas瑞萨晶振
Dynamic迪拉尼
有源晶振 :
石英晶体振荡器
温补晶振
压控晶振
VC-TCXO晶振
差分晶振
32.768K有源
恒温晶振
贴片晶振 :
5070晶振
6035晶振
5032晶振
3225晶振
2520晶振
2016晶振
1612晶振
1210晶振
8045晶振
32.768K晶振 :
10.4x4.0晶振
8.0x3.8晶振
7.1x3.3晶振
7.0x1.5晶振
5.0x1.8晶振
4.1x1.5晶振
3.2x1.5晶振
2.0x1.2晶振
1.6x1.0晶振
为你解决国内外知名品牌产品料号代码,查询对照

在线品牌会员

当前位置首页 » 关于我们 » 压电石英晶体技术资料 » 恒温晶振的老化率及数字定义可否懂?

恒温晶振的老化率及数字定义可否懂?

返回列表 来源:CEOB2B晶振平台 浏览:- 发布日期:2018-03-01 09:15:44【

 前面章节首先对GPS系统进行了介绍,包括GPS的组成、工作原理和误差来源。接着介绍了恒温晶振(OCXO),并分析了晶振的处理模型,下面就是介绍其相关的数学定义、老化数学模型和频率温度特性,为后面的老化补偿研究打下了基础。

2.2.2晶振的相关数学定义

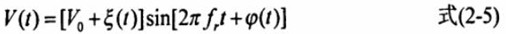
  假设晶振输出信号为正弦波,其数学模型可以表示为:

1

式中VO为标称峰值输出电压,§(t)为幅度偏移,φ(t)为相位偏差,fr为标称频率。

瞬时频率为:

2

相对频率偏移为:

3

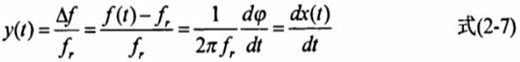
式中x(t)=0为时间偏差,由式(2-7)可以得到:

4

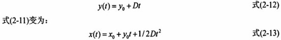
瞬时频率的常用公式为:

5

式中f(t)t时刻的瞬时频率值,fOt=0时刻的频率值,fr为标称频率,D(t)为频率漂移率。

由式(2-7)(2-9)可推导出:

6

式中,y为初始相对频率偏差。

由式(2-8)(2-10)可以得到:

7

式中,x为初始时间偏差,也叫做同步误差。

  一般性能比较好的晶振,日老化率近似为常数,特别是对于OCXO,在频率保持模式下,我们只考虑老化对实际频率的影响。很多石英晶振的老化指标用的是年老化率,±0.05ppm( Part per Million),一般情况下我们可以近似得出日老化率, 大概为年老化率的百分之一。

  假设晶振老化率为常数,(210)变为:

8

其中当|Bt|<<1,ln(Bt+1)→Br,(2-17)变为式(2-12)的形式:

y(t)=C+ ABt                              (2-18)

  图2.4给出了典型的老化率数学模型。可以看出贴片晶振的老化率可以为正数可以为负数,也可能会产生图中曲线y3(t)的情况。图2.5为铷原子频标的老化曲线,由于测试曲线的后半段存在参考和被测之间因漂移方向相同的现象,从而导致漂移问题不是很明显。

9

10

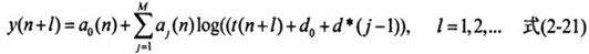
式中,dod为正数,参数aj(n),j=1,2,…,M由当前数据输入和上次数据输出迭代估计得到,价值函数为

11

  通过最小化价值函数,可以得到参数a,(n),j=1,2,…,M,得到t(n)时刻的ao a1…aM,t(n+l)时刻的相对频率偏差预测值为:

12

系列实验表明,估计性能对d0dM的取值不是很敏感,建议取值为d=1~05d(M-1),d=0.1~1.0,M=5~10。加权对数函数模型的缺点是计算比较复杂。

2.2.4晶振的频率温度特性

  除过老化的影响,温度也是影响频率变化的主要因素,而不同切型的石英晶体谐振器的频率一温度特性是不一样的,一般AT切基频晶体的频率一温度变化关系都是三次曲线,存在若干个零温度系数点,如图2.6所示。

13

  因此对其进行温度补偿晶振时要采用具有非线性函数拟合能力的数学模型。然而由于OCXO中一般采用SC切晶体,虽然其频率一温度变化曲线也是非线性的, 但是其频率一温度稳定度在宽温度范围内较AT切晶体有很大改善,并且由于它将晶体、振荡电路以及部分其它线路置于精密恒温槽中,恒温槽的工作温度选择在所用晶体的零温度系数点处,因此OCXO的频率温度系数非常小。

  当恒温槽的工作温度波动被控制在很小范围内时,如优于百分之一摄氏度时,其频率温度变化也可以被限制在很小的范围内,而且正是由于这种恒温作用,其频率温度变化曲线非常接近于线性。所以对OCXO的频率温度变化的预测可以采用线性数学模型, Kalman滤波算法正是一种较好的线性模型估计器,因此用它来拟合OCXO晶振的频率温度特性曲线是合适的。