欢迎来到CEOB2B晶振平台

咨询热线:

0755-27839045

日产进口晶振 :
KDS晶振KDScrystal
爱普生晶振EPSONcrystal
NDK晶振NDKcrystal
京瓷晶振KyoceraCrystal
精工晶振SEIKOcrystal
西铁城晶振CITIZENcrystal
村田晶振MurataCrystal
大河晶振RiverCrystal
富士晶振FujicomCrystal
SMI晶振SMICrystal
NAKA晶振NAKACrystal
NJR晶振NJRCrystal
中国台产晶振 :
泰艺晶振TAITIENcrystal
TXC晶振TXCcrystal
鸿星晶振HOSONICcrystal
希华晶振SIWARDcrystal
加高晶振HELEcrystal
百利通亚陶晶振DiodesCrystal
嘉硕晶振TSTcrystal
津绽晶振NSKcrystal
玛居礼晶振MERCURYcrystal
应达利晶振Interquip Crystal
AKER晶振
NKG晶振NKGCrystal
欧美石英晶振 :
CTS晶振CTScrystal
微晶晶振Microcrystal
瑞康晶振RakonCrystal
康纳温菲尔德ConnorWinfield
高利奇晶振GolledgeCrystal
Jauch晶振JauchCrystal
AbraconCrystalAbraconCrystal
维管晶振VectronCrystal
ECScrystal晶振ECScrystal
日蚀晶振ECLIPTEKcrystal
拉隆晶振RaltronCrystal
格林雷晶振GreenrayCrystal
SiTimeCrystalSiTimeCrystal
IDTcrystal晶振IDTcrystal
Pletronics晶振PletronicsCrystal
StatekCrystalStatekCrystal
AEK晶振AEKCrystal
AEL晶振AELcrystal
Cardinal晶振Cardinalcrystal
Crystek晶振Crystekcrystal
Euroquartz晶振Euroquartzcrystal
福克斯晶振FOXcrystal
Frequency晶振Frequencycrystal
GEYER晶振GEYERcrystal
ILSI晶振ILSIcrystal
KVG晶振KVGcrystal
MMDCOMP晶振MMDCOMPcrystal
MtronPTI晶振MtronPTIcrystal
QANTEK晶振QANTEKcrystal
QuartzCom晶振QuartzComcrystal
QuartzChnik晶振QuartzChnikcrystal
SUNTSU晶振SUNTSUcrystal
Transko晶振Transkocrystal
WI2WI晶振WI2WIcrystal
韩国三呢晶振SUNNY Crystal
ITTI晶振ITTICrystal
Oscilent晶振OscilentCrystal
ACT晶振ACTCrystal
Lihom晶振LihomCrystal
Rubyquartz晶振RubyquartzCrystal
SHINSUNG晶振SHINSUNGCrystal
PDI晶振PDICrystal
MTI-milliren晶振MTImillirenCrystal
IQD晶振IQDCrystal
Microchip晶振MicrochipCrystal
Silicon晶振SiliconCrystal
富通晶振FortimingCrystal
科尔晶振CORECrystal
NIPPON晶振NIPPONCrystal
NIC晶振NICCrystal
QVS晶振QVSCrystal
Bomar晶振BomarCrystal
百利晶振BlileyCrystal
GED晶振GEDCrystal
菲特罗尼克斯晶振FiltroneticsCrystal
STD晶振STDCrystal
Q-Tech晶振Q-TechCrystal
安德森晶振AndersonCrystal
文泽尔晶振WenzelCrystal
耐尔晶振NELCrystal
EM晶振EMCrystal
彼得曼晶振PETERMANNCrystal
FCD-Tech晶振FCD-TechCrystal
HEC晶振HECCrystal
FMI晶振FMICrystal
麦克罗比特晶振MacrobizesCrystal
AXTAL晶振AXTALCrystal
ARGO晶振
Skyworks晶振
Renesas瑞萨晶振
Dynamic迪拉尼
有源晶振 :
石英晶体振荡器
温补晶振
压控晶振
VC-TCXO晶振
差分晶振
32.768K有源
恒温晶振
贴片晶振 :
5070晶振
6035晶振
5032晶振
3225晶振
2520晶振
2016晶振
1612晶振
1210晶振
8045晶振
32.768K晶振 :
10.4x4.0晶振
8.0x3.8晶振
7.1x3.3晶振
7.0x1.5晶振
5.0x1.8晶振
4.1x1.5晶振
3.2x1.5晶振
2.0x1.2晶振
1.6x1.0晶振
为你解决国内外知名品牌产品料号代码,查询对照

在线品牌会员

当前位置首页 » 关于我们 » 压电石英晶体技术资料 » 具有负载能力的石英振荡器

具有负载能力的石英振荡器

返回列表 来源:CEOB2B晶振平台 浏览:- 发布日期:2019-05-05 16:48:43【

很多人都知道负载电容是晶体规格中,比较重要的一种参数,但石英振荡器同样也具备负载能力,振荡器的负载电容常见的是15pF。负载虽然不是振荡器重要的参数,但是你可以在所有的石英晶体振荡器规格表中看到它。

根据图2.59,大多数振荡器电路的反馈分支可以反馈到PI电路之一。石英晶体在其串联谐振之上操作,它在此处是电感性的并且与两个电容CACB形成谐振,随振荡器的频率振荡。该电路产生与图2.59C相同的结果。在这两种情况下,我们获得一个新的谐振频率,有用地称为负载谐振频率fL。从图2.59A的电抗图中我们可以进一步看出,石英仅在串联谐振和并联谐振之间是电感性的,因此可以仅在这两个频率之间的电容性负载下工作。因此,他从不对其并联谐振进行操作。

具有负载能力的石英振荡器

2.59带负载能力的电抗图

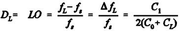
Oscillator振荡的频率仅由有效负载电容CL确定。这是订购石英指定时.Besondere石英用于“并联共振”不存在。注:1/CL-1/CA+1/CB。负载谐振频率fL因此总是高于容性负载下的串联谐振频率fs

具有负载能力的石英振荡器

负载谐振频率fL和串联谐振频率fs.fr)之间的相对差异是“负载谐振频率偏移”LO:(=DLDIN-IEC122)。通过改变负载电容可实现的频率变化很小,但足以降低制造频率容差(石英和电路)。为此,将与石英串联连接的电容器CA或负载电容器CL设计为微调电容器。由负载容量的变化产生的频率变化被称为拉动量,拉动范围D或在英语世界中也称为拉动范围PR。它是:

具有负载能力的石英振荡器

对于给定的负载容量变化,相对频率变化fL/fr也称为振荡晶体的可牵引性(可牵引性)。修整器中间位置的电路有效容量必须是标称值

具有负载能力的石英振荡器

石英晶体的负载能力相应。石英晶体制造商使用此指定的负载容量标称值调整振荡晶体的负载谐振频率。

具有负载能力的石英振荡器

2.60负载谐振偏移LO与不同替换数据的石英

负载共振频率与负载容量*fL/*CL的微分商称为相对拉动灵敏度S.

具有负载能力的石英振荡器

这种拉伸灵敏度的表达主要用于稳定性考虑。我们可以从图片2.602.61中看到,因为更大的可绘制性不仅可以通过更大动态容量的石英来实现,而且可以更有效地选择更小的负载能力。

具有负载能力的石英振荡器

2.61拉伸灵敏度对于不同替代数据的石英

标称负载容量由与振荡石英平行且串联的所有电容形成。由于杂散电容,半导体电容器,和在所述振荡器放大器难以ERFA$任何相移是酒吧,ermitteltman电路由工作频率fW具有石英已知替换数据测量的有效负载电容,以及(从托盘)F左相对于串联谐振频率,根据式40)的计算负载容量CL,也参见例2.20.3。如果在该测量中,石英振荡器的工作频率低于OSC晶振的串联谐振,则该电路是电感性的(负载电容)。通常,电感分量是由振荡器中不允许的相位旋转引起的。该电路或截止频率不足的半导体将被丢弃。但是也要避免不必要的杂散电容,因为它们限制了可绘制性并影响了振荡器的稳定性。

当操作具有负载能力的石英晶体时,石英晶体的转换替代数据生效。当振荡石英与负载电容CL串联连接时,获得负载谐振电阻RL(以前为rms串联电阻R'r)。

具有负载能力的石英振荡器

平行于贴片振荡器的电容Cs显着增加了负载谐振电阻RL。诸如平行修整器之类的大电容甚至可以将负载共振电阻增加到振动被破坏的程度,因为不再满足反馈条件。因此,拉式修整器不应与石英并联,但原则如图2.62所示。

具有负载能力的石英振荡器

2.62替代数据的转换

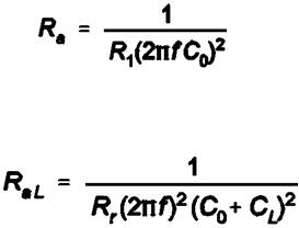
晶振反谐振频率fa处出现的并联电阻Ra在负载电容CL与有效并联电阻RaL的并联连接中变换(参见阻抗的轨迹曲线):

具有负载能力的石英振荡器