欢迎来到CEOB2B晶振平台

咨询热线:

0755-27839045

日产进口晶振 :
KDS晶振KDScrystal
爱普生晶振EPSONcrystal
NDK晶振NDKcrystal
京瓷晶振KyoceraCrystal
精工晶振SEIKOcrystal
西铁城晶振CITIZENcrystal
村田晶振MurataCrystal
大河晶振RiverCrystal
富士晶振FujicomCrystal
SMI晶振SMICrystal
NAKA晶振NAKACrystal
NJR晶振NJRCrystal
中国台产晶振 :
泰艺晶振TAITIENcrystal
TXC晶振TXCcrystal
鸿星晶振HOSONICcrystal
希华晶振SIWARDcrystal
加高晶振HELEcrystal
百利通亚陶晶振DiodesCrystal
嘉硕晶振TSTcrystal
津绽晶振NSKcrystal
玛居礼晶振MERCURYcrystal
应达利晶振Interquip Crystal
AKER晶振
NKG晶振NKGCrystal
欧美石英晶振 :
CTS晶振CTScrystal
微晶晶振Microcrystal
瑞康晶振RakonCrystal
康纳温菲尔德ConnorWinfield
高利奇晶振GolledgeCrystal
Jauch晶振JauchCrystal
AbraconCrystalAbraconCrystal
维管晶振VectronCrystal
ECScrystal晶振ECScrystal
日蚀晶振ECLIPTEKcrystal
拉隆晶振RaltronCrystal
格林雷晶振GreenrayCrystal
SiTimeCrystalSiTimeCrystal
IDTcrystal晶振IDTcrystal
Pletronics晶振PletronicsCrystal
StatekCrystalStatekCrystal
AEK晶振AEKCrystal
AEL晶振AELcrystal
Cardinal晶振Cardinalcrystal
Crystek晶振Crystekcrystal
Euroquartz晶振Euroquartzcrystal
福克斯晶振FOXcrystal
Frequency晶振Frequencycrystal
GEYER晶振GEYERcrystal
ILSI晶振ILSIcrystal
KVG晶振KVGcrystal
MMDCOMP晶振MMDCOMPcrystal
MtronPTI晶振MtronPTIcrystal
QANTEK晶振QANTEKcrystal
QuartzCom晶振QuartzComcrystal
QuartzChnik晶振QuartzChnikcrystal
SUNTSU晶振SUNTSUcrystal
Transko晶振Transkocrystal
WI2WI晶振WI2WIcrystal
韩国三呢晶振SUNNY Crystal
ITTI晶振ITTICrystal
Oscilent晶振OscilentCrystal
ACT晶振ACTCrystal
Lihom晶振LihomCrystal
Rubyquartz晶振RubyquartzCrystal
SHINSUNG晶振SHINSUNGCrystal
PDI晶振PDICrystal
MTI-milliren晶振MTImillirenCrystal
IQD晶振IQDCrystal
Microchip晶振MicrochipCrystal
Silicon晶振SiliconCrystal
富通晶振FortimingCrystal
科尔晶振CORECrystal
NIPPON晶振NIPPONCrystal
NIC晶振NICCrystal
QVS晶振QVSCrystal
Bomar晶振BomarCrystal
百利晶振BlileyCrystal
GED晶振GEDCrystal
菲特罗尼克斯晶振FiltroneticsCrystal
STD晶振STDCrystal
Q-Tech晶振Q-TechCrystal
安德森晶振AndersonCrystal
文泽尔晶振WenzelCrystal
耐尔晶振NELCrystal
EM晶振EMCrystal
彼得曼晶振PETERMANNCrystal
FCD-Tech晶振FCD-TechCrystal
HEC晶振HECCrystal
FMI晶振FMICrystal
麦克罗比特晶振MacrobizesCrystal
AXTAL晶振AXTALCrystal
ARGO晶振
Skyworks晶振
Renesas瑞萨晶振
Dynamic迪拉尼
有源晶振 :
石英晶体振荡器
温补晶振
压控晶振
VC-TCXO晶振
差分晶振
32.768K有源
恒温晶振
贴片晶振 :
5070晶振
6035晶振
5032晶振
3225晶振
2520晶振
2016晶振
1612晶振
1210晶振
8045晶振
32.768K晶振 :
10.4x4.0晶振
8.0x3.8晶振
7.1x3.3晶振
7.0x1.5晶振
5.0x1.8晶振
4.1x1.5晶振
3.2x1.5晶振
2.0x1.2晶振
1.6x1.0晶振
为你解决国内外知名品牌产品料号代码,查询对照

在线品牌会员

当前位置首页 » 新闻动态 » 温补晶振的热敏网络分析状况

温补晶振的热敏网络分析状况

返回列表 来源:CEOB2B晶振平台 浏览:- 发布日期:2018-04-04 10:14:54【

  该篇文章紧接着《温补晶振补偿原理及补偿过程》接着继续讲解,这篇文章主要讲的是温补晶振的热敏网络分析

2、几种常见热敏网络分析

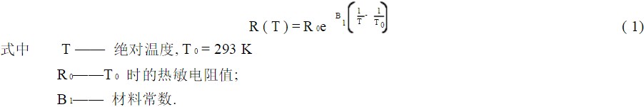
热敏网络输出电压V0的精度主要决定于热敏电阻的精度. 热敏电阻使用负温度系数, 阻值随温度变化的关系一般表示为

1

从式( 1) 可以看出, 热敏电阻的阻值与温度成指数关系, B 1 是表征指数特性的一个常数, 可以用某些方法确定式( 1) 中的参数R0B1

用热敏电阻和固定电阻可组成各种形式的“温度补偿网络”, 即热敏网络. 补偿精度之高低 取决于热敏网络输出电压—温度(V0 -T ) 曲线和所要求的补偿电压—温度(V -T)曲线的吻合程度. 因此,热敏网络的设计是整个补偿过程最关键的一步.根据温补晶振频率稳定度的不同要求, 热敏网络也各异, 一般频率稳定度愈高, 热敏网络愈复杂

常用的热敏网络有简单型网络、单型网络、双型网络、桥式网络和双臂网络五种型  . 3给出其中三种型式

3a是用得最多的一种网络. 这种网络只能输出二次曲线形状的电压, 因此只能补偿二 次曲线形状的晶振频率温度特性.实验表明,该网络从- 20+ 60℃环温之间,补偿精度可达到±5×10- 7 , 少数可达到±2×10- 7, 但对石英晶体谐振器的切角要求比较严格

3c为桥式网络, 它同时用两个网络进行补偿, 相当于两次补偿, 因此补偿精度比简单, 型网络有明显提高. 由实验得知, - 20+ 60℃温度范围内, 补偿精度可以达到±2×10 - 7, 少数可以达到±1×10-7 , 并且对二次形状和三次形状的晶体频率温度特性曲线都能补偿, 有效地提高了晶体利用率

2

双臂网络实际上也是由两个网络同时补偿, 其作用和桥式网络相同, 但作用的温度范围比 桥式网络宽, 因而常用在- 55+ 70℃环温范围内进行补偿. 补偿精度大部分优于±2×10 - 6, - 6   

实际设计时, 可根据温补晶振的技术要求, 采用上述各种不同的热敏网络. 现以简单 网络为例, 说明热敏网络电阻分压与温度和各电阻 R i 的关系. R 1R 2( T ) R 3 组成的电阻为 f 1 ( T )  R 4 ( T ) R 5 组成的电阻为 f 2 ( T ) ,

3

根据电阻分压关系得

4

上式表明, 当电源电压E一定时,热敏网络输出电压V0( T)是温度和各电阻 R i 的函数. 只要热敏电阻B值在一定取值范围, R i选择适当, V0 (T) 就能按需要输出, 获得 V 0 随温度变化的 ( V 0-T )曲线和补偿电压—温度( V -T ) 曲线吻合一致

对于其它各种石英晶振形式的热敏网络, 可以类似地推导出 V0 依赖于 这些函数形式可用最一般的函数模型抽象地记为

5

这里m是任意整数, 简单型网络中m = 5. V 0是各R i的非线性函数.