欢迎来到CEOB2B晶振平台

咨询热线:

0755-27839045

日产进口晶振 :
KDS晶振KDScrystal
爱普生晶振EPSONcrystal
NDK晶振NDKcrystal
京瓷晶振KyoceraCrystal
精工晶振SEIKOcrystal
西铁城晶振CITIZENcrystal
村田晶振MurataCrystal
大河晶振RiverCrystal
富士晶振FujicomCrystal
SMI晶振SMICrystal
NAKA晶振NAKACrystal
NJR晶振NJRCrystal
中国台产晶振 :
泰艺晶振TAITIENcrystal
TXC晶振TXCcrystal
鸿星晶振HOSONICcrystal
希华晶振SIWARDcrystal
加高晶振HELEcrystal
百利通亚陶晶振DiodesCrystal
嘉硕晶振TSTcrystal
津绽晶振NSKcrystal
玛居礼晶振MERCURYcrystal
应达利晶振Interquip Crystal
AKER晶振
NKG晶振NKGCrystal
欧美石英晶振 :
CTS晶振CTScrystal
微晶晶振Microcrystal
瑞康晶振RakonCrystal
康纳温菲尔德ConnorWinfield
高利奇晶振GolledgeCrystal
Jauch晶振JauchCrystal
AbraconCrystalAbraconCrystal
维管晶振VectronCrystal
ECScrystal晶振ECScrystal
日蚀晶振ECLIPTEKcrystal
拉隆晶振RaltronCrystal
格林雷晶振GreenrayCrystal
SiTimeCrystalSiTimeCrystal
IDTcrystal晶振IDTcrystal
Pletronics晶振PletronicsCrystal
StatekCrystalStatekCrystal
AEK晶振AEKCrystal
AEL晶振AELcrystal
Cardinal晶振Cardinalcrystal
Crystek晶振Crystekcrystal
Euroquartz晶振Euroquartzcrystal
福克斯晶振FOXcrystal
Frequency晶振Frequencycrystal
GEYER晶振GEYERcrystal
ILSI晶振ILSIcrystal
KVG晶振KVGcrystal
MMDCOMP晶振MMDCOMPcrystal
MtronPTI晶振MtronPTIcrystal
QANTEK晶振QANTEKcrystal
QuartzCom晶振QuartzComcrystal
QuartzChnik晶振QuartzChnikcrystal
SUNTSU晶振SUNTSUcrystal
Transko晶振Transkocrystal
WI2WI晶振WI2WIcrystal
韩国三呢晶振SUNNY Crystal
ITTI晶振ITTICrystal
Oscilent晶振OscilentCrystal
ACT晶振ACTCrystal
Lihom晶振LihomCrystal
Rubyquartz晶振RubyquartzCrystal
SHINSUNG晶振SHINSUNGCrystal
PDI晶振PDICrystal
MTI-milliren晶振MTImillirenCrystal
IQD晶振IQDCrystal
Microchip晶振MicrochipCrystal
Silicon晶振SiliconCrystal
富通晶振FortimingCrystal
科尔晶振CORECrystal
NIPPON晶振NIPPONCrystal
NIC晶振NICCrystal
QVS晶振QVSCrystal
Bomar晶振BomarCrystal
百利晶振BlileyCrystal
GED晶振GEDCrystal
菲特罗尼克斯晶振FiltroneticsCrystal
STD晶振STDCrystal
Q-Tech晶振Q-TechCrystal
安德森晶振AndersonCrystal
文泽尔晶振WenzelCrystal
耐尔晶振NELCrystal
EM晶振EMCrystal
彼得曼晶振PETERMANNCrystal
FCD-Tech晶振FCD-TechCrystal
HEC晶振HECCrystal
FMI晶振FMICrystal
麦克罗比特晶振MacrobizesCrystal
AXTAL晶振AXTALCrystal
ARGO晶振
Skyworks晶振
Renesas瑞萨晶振
Dynamic迪拉尼
有源晶振 :
石英晶体振荡器
温补晶振
压控晶振
VC-TCXO晶振
差分晶振
32.768K有源
恒温晶振
贴片晶振 :
5070晶振
6035晶振
5032晶振
3225晶振
2520晶振
2016晶振
1612晶振
1210晶振
8045晶振
32.768K晶振 :
10.4x4.0晶振
8.0x3.8晶振
7.1x3.3晶振
7.0x1.5晶振
5.0x1.8晶振
4.1x1.5晶振
3.2x1.5晶振
2.0x1.2晶振
1.6x1.0晶振
为你解决国内外知名品牌产品料号代码,查询对照

在线品牌会员

当前位置首页 » 关于我们 » 压电石英晶体技术资料 » 晶振激光作用固体材料的热效应解析模型介绍

晶振激光作用固体材料的热效应解析模型介绍

返回列表 来源:CEOB2B晶振平台 浏览:- 发布日期:2018-03-22 09:00:16【

关于SMD晶振计算激光加热下物体的温度场,激光辐射可视为一个热加工的热源,而激光作用材料表面的热转换主要是通过三种途径进行,即电子热传导、声子热传导和辐射热传导。通过激光能量的吸收和热扩散,引起物体边界上和内部的热流运动,使得各处的温度不同程度的上升。激光加载条件、物体的形状、初始和边界条件以及物体的热物理性质决定了物体温度场的时空变化.

热传导方程和基本热物理参数

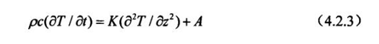
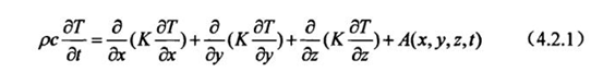
一个三维热传导方程可写为如下通用形式

JGZYGTCL1

式中K为热导率,p为材料密度,c为材料比热容,T为温度,t为时间变量,A(x,y,z,t)为每单位时间、单位体积传递热给固体材料的加热速率。由于石英晶振材料的热物理系数是温度的函数,所以方程(421)是非线性的,其解非常复杂,很难得到解析解。然而事实上大部分材料的热物理参数随温度变化并不明显,故在一定条件下可假定其与温度无关,在一定的温度范围内取其平均值进行计算,这样方程(4.21)才可能得到解析解。
   若激光作用下材料是均匀各向同性的,则方程(421)可简化为

JGZYGTCL2

式中k=K/pc为材料的热扩散率

由于求解热传导方程非常复杂,许多学者提出了一些热模型,在求解热传导方程时通常的假定条件是:
    (1)被加热石英晶体谐振器材料是各向同性物质。
    (2)材料的热物理参数与温度无关或取特定的平均值。
    (3)忽略热传导中的辐射和对流,只考虑材料米表面的热传导。
   激光辐照固体材料的热模型
    1.激光辐照半无限大固体模型
    (1)均匀辐照半无限大固体模型
   在激光与晶振材料相互作用的热转换的理论研究中,最简单的方法是将激光束作为一个均匀的热源加热半无穷大物体。当加热的横向尺寸远远大于激光加热深度时,可按一维半无限大模型讨论。一维热扩散方程可表示为:

JGZYGTCL3

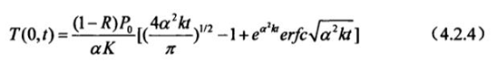
σ为材料的对激光的吸收系数,A=(1-R) Paexp(-az)为激光在贴片晶振材料内单位体积内产生的热,式中R是反射率,P为入射到材料表面的光功率密度。求解式(4.23),可得表面温升为:

JGZYGTCL4

式中k=K/pc为材料的热扩散率。

(2)高斯光束辐射半无限大固体模型

实际应用中,激光束并非一个光强分布绝对均匀的热源,激光束的横向光强分布一般是高斯型的,在聚焦焦斑处的光强也是高斯分布,这时作用材料表面的激光功率密度为:

JGZYGTCL5

其中P为光束中心功率密度,a为光束的高斯半径。

则高斯光斑辐照下靶材的温度变化为:

JGZYGTCL6

材料表面中心处的温度变化为:

JGZYGTCL7

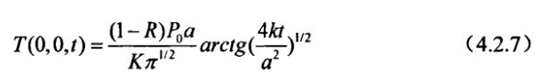
2.激光加热有限厚薄板的热源模型

从热学观点来看,若l为板厚,当l2≥k时,认为板为厚析;当12≤k/3板的绝热表面与受热表面温差小于10%,这时在热学上称为薄板。

激光均匀辐照有限厚固体,这时温度变化为:

JGZYGTCL8

CEOB2B晶振平台收集了海内外上百种晶振品牌查询供应信息,是世界上最大规模,最齐全的单一电子元器件产品平台,在这里可以随心所欲的找到任何一款,你需要的石英晶振,贴片晶振,陶瓷晶振,插件晶振和各种石英晶体振荡器。是一家专业性强,产品非常集中的优质B2B平台。