欢迎来到CEOB2B晶振平台

咨询热线:

0755-27839045

日产进口晶振 :
KDS晶振KDScrystal
爱普生晶振EPSONcrystal
NDK晶振NDKcrystal
京瓷晶振KyoceraCrystal
精工晶振SEIKOcrystal
西铁城晶振CITIZENcrystal
村田晶振MurataCrystal
大河晶振RiverCrystal
富士晶振FujicomCrystal
SMI晶振SMICrystal
NAKA晶振NAKACrystal
NJR晶振NJRCrystal
中国台产晶振 :
泰艺晶振TAITIENcrystal
TXC晶振TXCcrystal
鸿星晶振HOSONICcrystal
希华晶振SIWARDcrystal
加高晶振HELEcrystal
百利通亚陶晶振DiodesCrystal
嘉硕晶振TSTcrystal
津绽晶振NSKcrystal
玛居礼晶振MERCURYcrystal
应达利晶振Interquip Crystal
AKER晶振
NKG晶振NKGCrystal
欧美石英晶振 :
CTS晶振CTScrystal
微晶晶振Microcrystal
瑞康晶振RakonCrystal
康纳温菲尔德ConnorWinfield
高利奇晶振GolledgeCrystal
Jauch晶振JauchCrystal
AbraconCrystalAbraconCrystal
维管晶振VectronCrystal
ECScrystal晶振ECScrystal
日蚀晶振ECLIPTEKcrystal
拉隆晶振RaltronCrystal
格林雷晶振GreenrayCrystal
SiTimeCrystalSiTimeCrystal
IDTcrystal晶振IDTcrystal
Pletronics晶振PletronicsCrystal
StatekCrystalStatekCrystal
AEK晶振AEKCrystal
AEL晶振AELcrystal
Cardinal晶振Cardinalcrystal
Crystek晶振Crystekcrystal
Euroquartz晶振Euroquartzcrystal
福克斯晶振FOXcrystal
Frequency晶振Frequencycrystal
GEYER晶振GEYERcrystal
ILSI晶振ILSIcrystal
KVG晶振KVGcrystal
MMDCOMP晶振MMDCOMPcrystal
MtronPTI晶振MtronPTIcrystal
QANTEK晶振QANTEKcrystal
QuartzCom晶振QuartzComcrystal
QuartzChnik晶振QuartzChnikcrystal
SUNTSU晶振SUNTSUcrystal
Transko晶振Transkocrystal
WI2WI晶振WI2WIcrystal
韩国三呢晶振SUNNY Crystal
ITTI晶振ITTICrystal
Oscilent晶振OscilentCrystal
ACT晶振ACTCrystal
Lihom晶振LihomCrystal
Rubyquartz晶振RubyquartzCrystal
SHINSUNG晶振SHINSUNGCrystal
PDI晶振PDICrystal
MTI-milliren晶振MTImillirenCrystal
IQD晶振IQDCrystal
Microchip晶振MicrochipCrystal
Silicon晶振SiliconCrystal
富通晶振FortimingCrystal
科尔晶振CORECrystal
NIPPON晶振NIPPONCrystal
NIC晶振NICCrystal
QVS晶振QVSCrystal
Bomar晶振BomarCrystal
百利晶振BlileyCrystal
GED晶振GEDCrystal
菲特罗尼克斯晶振FiltroneticsCrystal
STD晶振STDCrystal
Q-Tech晶振Q-TechCrystal
安德森晶振AndersonCrystal
文泽尔晶振WenzelCrystal
耐尔晶振NELCrystal
EM晶振EMCrystal
彼得曼晶振PETERMANNCrystal
FCD-Tech晶振FCD-TechCrystal
HEC晶振HECCrystal
FMI晶振FMICrystal
麦克罗比特晶振MacrobizesCrystal
AXTAL晶振AXTALCrystal
ARGO晶振
Skyworks晶振
Renesas瑞萨晶振
Dynamic迪拉尼
有源晶振 :
石英晶体振荡器
温补晶振
压控晶振
VC-TCXO晶振
差分晶振
32.768K有源
恒温晶振
贴片晶振 :
5070晶振
6035晶振
5032晶振
3225晶振
2520晶振
2016晶振
1612晶振
1210晶振
8045晶振
32.768K晶振 :
10.4x4.0晶振
8.0x3.8晶振
7.1x3.3晶振
7.0x1.5晶振
5.0x1.8晶振
4.1x1.5晶振
3.2x1.5晶振
2.0x1.2晶振
1.6x1.0晶振
为你解决国内外知名品牌产品料号代码,查询对照

在线品牌会员

当前位置首页 » 关于我们 » 压电石英晶体技术资料 » 讲述晶振重要环节老化率的预测模型

讲述晶振重要环节老化率的预测模型

返回列表 来源:CEOB2B晶振平台 浏览:- 发布日期:2018-03-06 09:22:13【

  对于一个晶振产品来说,老化这个环节是相当重要,这关系到产品的质量问题和不良问题,在制作石英晶振,贴片晶振等产品,每一道工序都是重要的,下面给大家大概的介绍下关于晶振的老化率的知识

老化率的预测模型

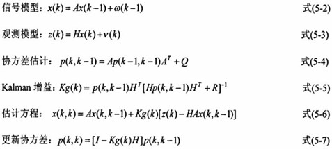
  由于对温度补偿晶振现在已经达到成熟阶段,所以本文主要是针对老化率进行研究。老化的预测模型采用矢量或多维 Kalman滤波器,而矢量滤波公式和前面讨论过的标量或一维公式在形式上是类似的,

1

矢量形式中的x(k)o(k-1)z(k)y(k)是多维向量,AHKg(k)P(k)QR均为矩阵形式,其中,QR分别代表过程噪声方差矩阵和测量噪声方差矩阵的石英晶体振荡器

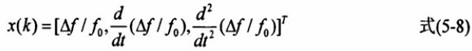
  在预测模型中,信号的状态向量为三维列向量,各项分别代表频率相对准确度、频率漂移率和频率漂移率的一阶微分馴,

2

  z(k)为相对频差的测量值,状态转移矩阵A取值为

3

  其中,M为数据的采样周期,系数at贴片晶振的正常驯服期间取值为1,而在保持期间取值为0,保证老化率在驯服时可以及时更新,以跟随老化率长期的非线性,而在保持期间保持不变,防止错误更新。

测量参数矩阵H是一个三维行向量,其取值为:

4 

  用于从状态估计向量中分离出相对频差测量值的对应估计值。过程噪声方差矩阵Q为三阶方阵,其对角线上的元素对应状态向量中各项的过程噪声方差,而其余项分别是状态向量中各项之间的协方差,各项具体数据由实验确定, Matlab环境下经过多次的数据仿真,得到合适的Q,这里根据实验将所有数值设定在1×10-4量级。测量噪声方差矩阵R这里是一个数值,对应相对频差的测量方差大小。为了防止预测值的整体偏大或者偏小,这里将该值取为1

  关于系统状态向量和估计误差方差矩阵的初始估计值,则需要根据系统实际情况确定。这样,OCXO晶振的正常锁定状态下,老化预测模型接收驯服部分对于老化的锁定校正信号,按照前面讨论过的 Kalman滤波程序流程,不断更新模型的状态向量估计值,使其趋向于真实值。而在GPS信号失效后,没有了锁定校正信号, 模型的输入变为它预测的测量值,即使得z(k)=HAx(k-1),这样x(k)=Ax(k-1), 并不断运行下去。