欢迎来到CEOB2B晶振平台

咨询热线:

0755-27839045

日产进口晶振 :
KDS晶振KDScrystal
爱普生晶振EPSONcrystal
NDK晶振NDKcrystal
京瓷晶振KyoceraCrystal
精工晶振SEIKOcrystal
西铁城晶振CITIZENcrystal
村田晶振MurataCrystal
大河晶振RiverCrystal
富士晶振FujicomCrystal
SMI晶振SMICrystal
NAKA晶振NAKACrystal
NJR晶振NJRCrystal
中国台产晶振 :
泰艺晶振TAITIENcrystal
TXC晶振TXCcrystal
鸿星晶振HOSONICcrystal
希华晶振SIWARDcrystal
加高晶振HELEcrystal
百利通亚陶晶振DiodesCrystal
嘉硕晶振TSTcrystal
津绽晶振NSKcrystal
玛居礼晶振MERCURYcrystal
应达利晶振Interquip Crystal
AKER晶振
NKG晶振NKGCrystal
欧美石英晶振 :
CTS晶振CTScrystal
微晶晶振Microcrystal
瑞康晶振RakonCrystal
康纳温菲尔德ConnorWinfield
高利奇晶振GolledgeCrystal
Jauch晶振JauchCrystal
AbraconCrystalAbraconCrystal
维管晶振VectronCrystal
ECScrystal晶振ECScrystal
日蚀晶振ECLIPTEKcrystal
拉隆晶振RaltronCrystal
格林雷晶振GreenrayCrystal
SiTimeCrystalSiTimeCrystal
IDTcrystal晶振IDTcrystal
Pletronics晶振PletronicsCrystal
StatekCrystalStatekCrystal
AEK晶振AEKCrystal
AEL晶振AELcrystal
Cardinal晶振Cardinalcrystal
Crystek晶振Crystekcrystal
Euroquartz晶振Euroquartzcrystal
福克斯晶振FOXcrystal
Frequency晶振Frequencycrystal
GEYER晶振GEYERcrystal
ILSI晶振ILSIcrystal
KVG晶振KVGcrystal
MMDCOMP晶振MMDCOMPcrystal
MtronPTI晶振MtronPTIcrystal
QANTEK晶振QANTEKcrystal
QuartzCom晶振QuartzComcrystal
QuartzChnik晶振QuartzChnikcrystal
SUNTSU晶振SUNTSUcrystal
Transko晶振Transkocrystal
WI2WI晶振WI2WIcrystal
韩国三呢晶振SUNNY Crystal
ITTI晶振ITTICrystal
Oscilent晶振OscilentCrystal
ACT晶振ACTCrystal
Lihom晶振LihomCrystal
Rubyquartz晶振RubyquartzCrystal
SHINSUNG晶振SHINSUNGCrystal
PDI晶振PDICrystal
MTI-milliren晶振MTImillirenCrystal
IQD晶振IQDCrystal
Microchip晶振MicrochipCrystal
Silicon晶振SiliconCrystal
富通晶振FortimingCrystal
科尔晶振CORECrystal
NIPPON晶振NIPPONCrystal
NIC晶振NICCrystal
QVS晶振QVSCrystal
Bomar晶振BomarCrystal
百利晶振BlileyCrystal
GED晶振GEDCrystal
菲特罗尼克斯晶振FiltroneticsCrystal
STD晶振STDCrystal
Q-Tech晶振Q-TechCrystal
安德森晶振AndersonCrystal
文泽尔晶振WenzelCrystal
耐尔晶振NELCrystal
EM晶振EMCrystal
彼得曼晶振PETERMANNCrystal
FCD-Tech晶振FCD-TechCrystal
HEC晶振HECCrystal
FMI晶振FMICrystal
麦克罗比特晶振MacrobizesCrystal
AXTAL晶振AXTALCrystal
ARGO晶振
Skyworks晶振
Renesas瑞萨晶振
Dynamic迪拉尼
有源晶振 :
石英晶体振荡器
温补晶振
压控晶振
VC-TCXO晶振
差分晶振
32.768K有源
恒温晶振
贴片晶振 :
5070晶振
6035晶振
5032晶振
3225晶振
2520晶振
2016晶振
1612晶振
1210晶振
8045晶振
32.768K晶振 :
10.4x4.0晶振
8.0x3.8晶振
7.1x3.3晶振
7.0x1.5晶振
5.0x1.8晶振
4.1x1.5晶振
3.2x1.5晶振
2.0x1.2晶振
1.6x1.0晶振
为你解决国内外知名品牌产品料号代码,查询对照

在线品牌会员

当前位置首页 » 关于我们 » 压电石英晶体技术资料 » OCXO晶振DIP的控制原理以及公式

OCXO晶振DIP的控制原理以及公式

返回列表 来源:CEOB2B晶振平台 浏览:- 发布日期:2018-03-05 09:36:41【

4.5.lPID控制器原理

  PID控制器是一种线性控制器,它根据给定值r(t)和实际输出值y(t)构成控制偏差et

1

  再按比例、积分、微分运算后构成PID控制规律

2

  写成传递函数的形式为:

3

  式中Kp为比例系数,T1为积分时间常数,TD为微分时间常数,原理如图4.13所示:

4

下面简单介绍比例部分、积分部分和微分部分的作用。

1.比例调节器(P)

  它的输出和偏差信号成正比,只要偏差出现,就能及时地产生与之成比例的调节作用。调节的强弱取决于比例系数Kn的大小,K,越大系统的响应速度越快, 系统的调节精度越高,但是容易产生超调,系统的稳定性变差。如果K取值过小, 系统响应速度变慢,调节时间加长,稳定性变坏。

2.比例积分调节器PI)

  只要石英晶振系统存在误差,积分控制作用就不断积累,输出控制量以消除误差,因而只要有足够的时间,积分将能完全消除误差。参数T的一个最主要作用就是消除系统的稳态误差,T越大系统稳态误差消除的越快,但也不能过大,否则在响应过程的初期产生积分饱和现象,T过小,系统的稳态误差难以消除,影响系统的调节精度。

3.比例微分调节器(PD)

  微分控制可以减小超调量,克服振荡,使石英晶体振荡器系统的稳定性提高,同时加快系统的动态响应速度,减小过渡过程时间,从而改善系统的动态性能,具有前导作用,T不能过大,否则会使响应过程提前制动,延长调节时间,并且会降低系统的抗干扰能力。

  为了能在数字信号处理器中实现对系统的PD控制,必须对其进行离散化处理。常见的数字PID控制方法有位置式和增量式,位置式PID算法每次输出与整个过去状态有关,计算式中要用到过去偏差的累加值,容易产生较大的累积误差;而增量式PID只需计算增量,当存在计算误差或精度不足时,对控制量计算的影响较小。因为这里PD控制器的执行单元是DA转换器,其转换输出的电压用来调节OCXO晶振的频率,因此需要的是控制的绝对数值,而不是控制的增量,所以位置式PID控制算法在这里比较合适,下面将简单介绍位置式PD控制算法。

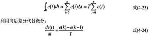
  当采样时间T很短时,采用数字逼近的方法,利用求和代替积分:

5

  式中,T为采样周期;k为采样序号;e(k)为系统在第k次采样时刻的偏差值; e(k-1)为系统在第(k-1)次采样时刻的偏差值。

离散PID表达式;

6

  一般称K为比例系数,K1=KP0为积分系数, KD=KP0.01为微分系数,依次称为比例项、积分项和微分项。

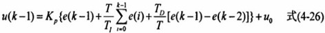
  由式(425)可得第(k-1)次样时刻的控制量为:

7

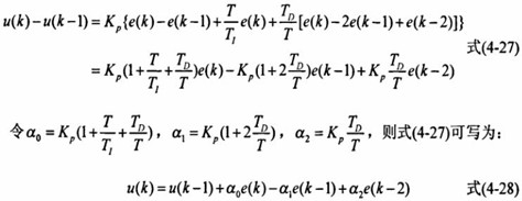
用式(4-25减去式(K-1)可得:

8

  这就是位置式PID的递推公式,在进行数字化离散后编程用的就是这个公式。