欢迎来到CEOB2B晶振平台

咨询热线:

0755-27839045

日产进口晶振 :
KDS晶振KDScrystal
爱普生晶振EPSONcrystal
NDK晶振NDKcrystal
京瓷晶振KyoceraCrystal
精工晶振SEIKOcrystal
西铁城晶振CITIZENcrystal
村田晶振MurataCrystal
大河晶振RiverCrystal
富士晶振FujicomCrystal
SMI晶振SMICrystal
NAKA晶振NAKACrystal
NJR晶振NJRCrystal
中国台产晶振 :
泰艺晶振TAITIENcrystal
TXC晶振TXCcrystal
鸿星晶振HOSONICcrystal
希华晶振SIWARDcrystal
加高晶振HELEcrystal
百利通亚陶晶振DiodesCrystal
嘉硕晶振TSTcrystal
津绽晶振NSKcrystal
玛居礼晶振MERCURYcrystal
应达利晶振Interquip Crystal
AKER晶振
NKG晶振NKGCrystal
欧美石英晶振 :
CTS晶振CTScrystal
微晶晶振Microcrystal
瑞康晶振RakonCrystal
康纳温菲尔德ConnorWinfield
高利奇晶振GolledgeCrystal
Jauch晶振JauchCrystal
AbraconCrystalAbraconCrystal
维管晶振VectronCrystal
ECScrystal晶振ECScrystal
日蚀晶振ECLIPTEKcrystal
拉隆晶振RaltronCrystal
格林雷晶振GreenrayCrystal
SiTimeCrystalSiTimeCrystal
IDTcrystal晶振IDTcrystal
Pletronics晶振PletronicsCrystal
StatekCrystalStatekCrystal
AEK晶振AEKCrystal
AEL晶振AELcrystal
Cardinal晶振Cardinalcrystal
Crystek晶振Crystekcrystal
Euroquartz晶振Euroquartzcrystal
福克斯晶振FOXcrystal
Frequency晶振Frequencycrystal
GEYER晶振GEYERcrystal
ILSI晶振ILSIcrystal
KVG晶振KVGcrystal
MMDCOMP晶振MMDCOMPcrystal
MtronPTI晶振MtronPTIcrystal
QANTEK晶振QANTEKcrystal
QuartzCom晶振QuartzComcrystal
QuartzChnik晶振QuartzChnikcrystal
SUNTSU晶振SUNTSUcrystal
Transko晶振Transkocrystal
WI2WI晶振WI2WIcrystal
韩国三呢晶振SUNNY Crystal
ITTI晶振ITTICrystal
Oscilent晶振OscilentCrystal
ACT晶振ACTCrystal
Lihom晶振LihomCrystal
Rubyquartz晶振RubyquartzCrystal
SHINSUNG晶振SHINSUNGCrystal
PDI晶振PDICrystal
MTI-milliren晶振MTImillirenCrystal
IQD晶振IQDCrystal
Microchip晶振MicrochipCrystal
Silicon晶振SiliconCrystal
富通晶振FortimingCrystal
科尔晶振CORECrystal
NIPPON晶振NIPPONCrystal
NIC晶振NICCrystal
QVS晶振QVSCrystal
Bomar晶振BomarCrystal
百利晶振BlileyCrystal
GED晶振GEDCrystal
菲特罗尼克斯晶振FiltroneticsCrystal
STD晶振STDCrystal
Q-Tech晶振Q-TechCrystal
安德森晶振AndersonCrystal
文泽尔晶振WenzelCrystal
耐尔晶振NELCrystal
EM晶振EMCrystal
彼得曼晶振PETERMANNCrystal
FCD-Tech晶振FCD-TechCrystal
HEC晶振HECCrystal
FMI晶振FMICrystal
麦克罗比特晶振MacrobizesCrystal
AXTAL晶振AXTALCrystal
ARGO晶振
Skyworks晶振
Renesas瑞萨晶振
Dynamic迪拉尼
有源晶振 :
石英晶体振荡器
温补晶振
压控晶振
VC-TCXO晶振
差分晶振
32.768K有源
恒温晶振
贴片晶振 :
5070晶振
6035晶振
5032晶振
3225晶振
2520晶振
2016晶振
1612晶振
1210晶振
8045晶振
32.768K晶振 :
10.4x4.0晶振
8.0x3.8晶振
7.1x3.3晶振
7.0x1.5晶振
5.0x1.8晶振
4.1x1.5晶振
3.2x1.5晶振
2.0x1.2晶振
1.6x1.0晶振
为你解决国内外知名品牌产品料号代码,查询对照

在线品牌会员

当前位置首页 » 关于我们 » 压电石英晶体技术资料 » 石英晶振频率标准概念

石英晶振频率标准概念

返回列表 来源:CEOB2B晶振平台 浏览:- 发布日期:2018-02-28 08:54:20【

随着科技的高速发展,电子元器件对于现代的时代具有巨大的需求量,频率元件的需求量也是在不断的增长,而晶振作为滤波器、频率元件被市场上使用在通讯、航空航天、医疗、安防、工业、消费等领域当中。

1.1.2频率标准概念

  频率标准的发展对于一个国家的经济、科学与技术、国防和社会安全有着非常重要的意义。由于制造、交通运输、通讯与信息技术的不断迅猛发展,对时间和频率测量的准确度和精确度要求的石英晶振也越来越高。导航、定位、大地测量、天文观测、网络授时和同步以及电网故障检测中都需要高稳定度和准确度的频率标准。

  按照频率标准的性能指标和应用领域来划分,可以将其分为一级频率标准(铯原子频标)二级频率标准(包括铷原子频标和高稳晶体振荡器)和其它频率标准(包括除高稳晶体振荡器以外的其他石英晶体振荡器)。表11列出了常用频率标准的准确度.1

  在各种高精度的频率标准中,氢钅钟中、铯钟等都具有很好的长期和短期稳定度, 但价格非常昂贵,一般用于国家授时实验室,应用范围非常有限。虽然铷钟和高稳定度晶体振荡器等二级频标的频率稳定度不如一级频标,但价格低廉,体积较小,应用范围非常广泛。它们被广泛用于通信、计量、应用电子技术、电子仪器、航空航天、雷达和因防军工等各个领域,作为关键器件发挥着重要的作用。

  近年来由于通信业和军工方面的发展和需求,我国精密的贴片晶振、有源晶振和原子频率标准的需求也有了明显的增长。

  频率标准的三个基本技术指标是准确度、稳定度和老化率。频率标准和计时的精确度会受到科技发展水平的限制。影响频率稳定度和准确度主要是温度和老化,因此,国内外正在投入大量精力研究修正这些影响。下面详细介绍这三种技术指标

1.频率准确度

  用来描述频率标准输出的实际频率值与其标称频率值的相对偏差。因为受频率标准内在因素和外部环境(如温度、湿度、压力、震动等)的影响,实际频率值并不是固定不变的,而是在一定范围内有起伏的值。计算表达式如下:

2

式中A为频率准确度;fX为实际频率值;fO后为标称频率为了得到准确的fX,至少应进行6次测量,采样时间应该选择相应的频率稳定度影响可以忽略时的时间间隔。一般选择的采样时间为10s,使得在该时间内被测频标的短期频率稳定度比其准确度高出一个数量级。

2.频率稳定度

  由于各种外界干扰,例如电子线路的热噪声,石英晶体谐振器内固有噪声,器件的老化,环境条件的变化等,都会使振荡器的输出频率相对于标称值发生波动,这种波动代表了输出频率的不稳定度。目前使用的频率稳定度表征有两种。即:频域表征一相对频率起伏的功率谱密度,它表现为信号的频谱不纯;时域表征一阿仑方差,它表现为频率平均值的随机起伏。二者在数学上是一对傅氏变换,因而是等效的。

实际的阿仑方差计算公式为:

3

式中ff,分别为第i和第i+1次测量的频率值;后为被测频率源的频率标称值, m为测量的次数。

3.老化率的表征和测量

  单位时间内平均频率的相对漂移量叫做漂移率。在石英晶体振荡器中一般称为老化率,而在原子频标中一般称为漂移率。大多数频标经过足够的时间预热后连续工作,在一段不太长的时间内频率的漂移呈现近似线性变化的特点。

老化率实用计算公式:

4

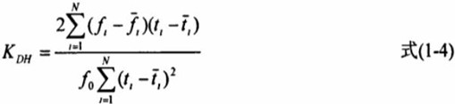
;t为测量时序,i1,2,3,…,N;fO为频率源的标称频率;n为一天的取样次数。

  由于频率值随时间的变化并不仅仅是线性的,有源晶振往往是对数老化规律或倒数老化规律,所以从理论上讲,每天测量的点数n越多越好。但是从实际测量和计算的方便来讲,又希望n取得越少越好。通过大量的实验,表明每天测量的次数n取两次就可以了。经简化后,每天测量的次数n取两次,测量H天的日老化率KDH的基本简化公式可以写为:

5

  原子频标的日漂移率远远小于晶体振荡器,因此一般按月漂移率给出。由于漂移率呈线性规律,所以月漂移率可以用日漂移率来推算。也就是:

6

  由于高稳定度晶体振荡器的老化率从更长的时间刻度来观察呈现了随着加热时间的延续越来越小的特点,所以国外在考察高稳定度晶体振荡器的年老化率时常常是在日老化率的基础上乘以系数100