欢迎来到CEOB2B晶振平台

咨询热线:

0755-27839045

日产进口晶振 :
KDS晶振KDScrystal
爱普生晶振EPSONcrystal
NDK晶振NDKcrystal
京瓷晶振KyoceraCrystal
精工晶振SEIKOcrystal
西铁城晶振CITIZENcrystal
村田晶振MurataCrystal
大河晶振RiverCrystal
富士晶振FujicomCrystal
SMI晶振SMICrystal
NAKA晶振NAKACrystal
NJR晶振NJRCrystal
中国台产晶振 :
泰艺晶振TAITIENcrystal
TXC晶振TXCcrystal
鸿星晶振HOSONICcrystal
希华晶振SIWARDcrystal
加高晶振HELEcrystal
百利通亚陶晶振DiodesCrystal
嘉硕晶振TSTcrystal
津绽晶振NSKcrystal
玛居礼晶振MERCURYcrystal
应达利晶振Interquip Crystal
AKER晶振
NKG晶振NKGCrystal
欧美石英晶振 :
CTS晶振CTScrystal
微晶晶振Microcrystal
瑞康晶振RakonCrystal
康纳温菲尔德ConnorWinfield
高利奇晶振GolledgeCrystal
Jauch晶振JauchCrystal
AbraconCrystalAbraconCrystal
维管晶振VectronCrystal
ECScrystal晶振ECScrystal
日蚀晶振ECLIPTEKcrystal
拉隆晶振RaltronCrystal
格林雷晶振GreenrayCrystal
SiTimeCrystalSiTimeCrystal
IDTcrystal晶振IDTcrystal
Pletronics晶振PletronicsCrystal
StatekCrystalStatekCrystal
AEK晶振AEKCrystal
AEL晶振AELcrystal
Cardinal晶振Cardinalcrystal
Crystek晶振Crystekcrystal
Euroquartz晶振Euroquartzcrystal
福克斯晶振FOXcrystal
Frequency晶振Frequencycrystal
GEYER晶振GEYERcrystal
ILSI晶振ILSIcrystal
KVG晶振KVGcrystal
MMDCOMP晶振MMDCOMPcrystal
MtronPTI晶振MtronPTIcrystal
QANTEK晶振QANTEKcrystal
QuartzCom晶振QuartzComcrystal
QuartzChnik晶振QuartzChnikcrystal
SUNTSU晶振SUNTSUcrystal
Transko晶振Transkocrystal
WI2WI晶振WI2WIcrystal
韩国三呢晶振SUNNY Crystal
ITTI晶振ITTICrystal
Oscilent晶振OscilentCrystal
ACT晶振ACTCrystal
Lihom晶振LihomCrystal
Rubyquartz晶振RubyquartzCrystal
SHINSUNG晶振SHINSUNGCrystal
PDI晶振PDICrystal
MTI-milliren晶振MTImillirenCrystal
IQD晶振IQDCrystal
Microchip晶振MicrochipCrystal
Silicon晶振SiliconCrystal
富通晶振FortimingCrystal
科尔晶振CORECrystal
NIPPON晶振NIPPONCrystal
NIC晶振NICCrystal
QVS晶振QVSCrystal
Bomar晶振BomarCrystal
百利晶振BlileyCrystal
GED晶振GEDCrystal
菲特罗尼克斯晶振FiltroneticsCrystal
STD晶振STDCrystal
Q-Tech晶振Q-TechCrystal
安德森晶振AndersonCrystal
文泽尔晶振WenzelCrystal
耐尔晶振NELCrystal
EM晶振EMCrystal
彼得曼晶振PETERMANNCrystal
FCD-Tech晶振FCD-TechCrystal
HEC晶振HECCrystal
FMI晶振FMICrystal
麦克罗比特晶振MacrobizesCrystal
AXTAL晶振AXTALCrystal
ARGO晶振
Skyworks晶振
Renesas瑞萨晶振
Dynamic迪拉尼
有源晶振 :
石英晶体振荡器
温补晶振
压控晶振
VC-TCXO晶振
差分晶振
32.768K有源
恒温晶振
贴片晶振 :
5070晶振
6035晶振
5032晶振
3225晶振
2520晶振
2016晶振
1612晶振
1210晶振
8045晶振
32.768K晶振 :
10.4x4.0晶振
8.0x3.8晶振
7.1x3.3晶振
7.0x1.5晶振
5.0x1.8晶振
4.1x1.5晶振
3.2x1.5晶振
2.0x1.2晶振
1.6x1.0晶振
为你解决国内外知名品牌产品料号代码,查询对照

在线品牌会员

当前位置首页 » 关于我们 » 压电石英晶体技术资料 » 石英晶体单元等效电路

石英晶体单元等效电路

返回列表 来源:CEOB2B晶振平台 浏览:- 发布日期:2018-10-31 17:28:18【

前面我们有提供过晶体振荡器单元的等效电路,那么石英晶体单元的等效电路,大家是否了解呢?虽然同样都是等效电路,但振荡器和谐振器的还是有比较大的区别,因为技术没那么复杂,所以晶体单位的等效电路没有振荡器难度那么高。以下是CEOB2B晶振平台为各个新老客户提供的晶体等效电路图及相关技术资料。

石英晶体单元是已经施加电极的石英晶片,并且其被密封在支架结构中。(晶圆通常被称为“空白”或“晶体板”。)虽然石英晶体谐振器单元的设计和制造包含复杂的主题,但振荡器设计者可以将晶体单元视为电路元件并且只是处理晶体单元的等效电路。

机械振动系统和图2所示的电路是“等效的”,因为每个都可以用相同的微分方程[6]来描述。质量,弹簧和阻尼元件(即缓冲器)对应于电感器,电容器和电阻器。驱动力对应于电压,质量对电容器上的电荷的位移以及对电流的速度。

石英晶体单元等效电路

晶体谐振器是一种机械振动系统,通过压电效应与电气世界相连。图3示出了谐振器的(简化的)等效电路(一种振动模式),以及晶体单元的电路符号。负载电容器CL与晶体串联示出。C0,称为“分流”电容,是由于晶体板上的电极加上由于晶体外壳引起的杂散电容引起的电容。电路的R1L1C1部分是“运动臂”,它是由晶体的机械振动引起的。

石英晶体单元等效电路

C0C1比率是存储在晶体中的电能和机械能之间的相互转换的量度,即压电耦合因子kC0/C1随着泛音数的平方增加;C0/C1kN的关系为2C0/C1=[pN2/2k],其中N是泛音数。当直流电压施加到贴片石英晶振的电极时,电容比C0/C1还可以测量由电极形成的电容器中存储的电能与由压电效应产生的晶格应变产生的弹性存储在晶体中的能量之比。图4显示了晶体单元的电抗与频率特性。C0/C1也与反共振谐振频率分离(即极柱间距)成反比,这是滤波器应用中特别重要的参数。电抗对邻近F频率曲线的斜率小号成反比到C1,即dX/dF/F»1/pfC1附近.FS,其中X是电抗。因此,C1是晶体“刚度”的量度,即其可调性。

石英晶体单元等效电路

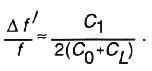
当负载电容与晶体串联时,石英晶体振荡器的工作频率增加Df',其中Df'由下式给出:

石英晶体单元等效电路

当电感器与晶体串联连接时,操作频率降低。通过增加或改变电抗来改变工作频率的能力允许补偿TCXO晶振中晶体单元的频率与温度变化,并调节压控晶体振荡器(VCXO)的输出频率; 在两者中,通过改变变容二极管上的电压来改变频率。

对于图2的简单RLC电路,谐振曲线的宽度与品质因数Q成反比,但在晶体振荡器中,由于存在C 0并且操作Q较低,因此情况变得复杂。比对谐振器Q.对于压电石英晶体谐振器Q=2pfSC1R11。参考文献3,56包含有关等效电路的更多细节。

石英晶体谐振器在由分立的RCL'构建的储能电路上的众多优点中,有一些优点是晶体更硬,并且具有远高于普通分立元件的Q值。例如,5MHz基模ATcut晶体可具有C1=0.01pFL1=0.1HR1=5WQ=106。没有0.01pF的电容器,因为连接到这种电容器的引线可能单独产生超过0.01pF的电容。类似地,0.1H2电感器将在物理上很大,它需要包括大量的匝数,并且需要以具有被超导£5W电阻。