欢迎来到CEOB2B晶振平台

咨询热线:

0755-27839045

日产进口晶振 :
KDS晶振KDScrystal
爱普生晶振EPSONcrystal
NDK晶振NDKcrystal
京瓷晶振KyoceraCrystal
精工晶振SEIKOcrystal
西铁城晶振CITIZENcrystal
村田晶振MurataCrystal
大河晶振RiverCrystal
富士晶振FujicomCrystal
SMI晶振SMICrystal
NAKA晶振NAKACrystal
NJR晶振NJRCrystal
中国台产晶振 :
泰艺晶振TAITIENcrystal
TXC晶振TXCcrystal
鸿星晶振HOSONICcrystal
希华晶振SIWARDcrystal
加高晶振HELEcrystal
百利通亚陶晶振DiodesCrystal
嘉硕晶振TSTcrystal
津绽晶振NSKcrystal
玛居礼晶振MERCURYcrystal
应达利晶振Interquip Crystal
AKER晶振
NKG晶振NKGCrystal
欧美石英晶振 :
CTS晶振CTScrystal
微晶晶振Microcrystal
瑞康晶振RakonCrystal
康纳温菲尔德ConnorWinfield
高利奇晶振GolledgeCrystal
Jauch晶振JauchCrystal
AbraconCrystalAbraconCrystal
维管晶振VectronCrystal
ECScrystal晶振ECScrystal
日蚀晶振ECLIPTEKcrystal
拉隆晶振RaltronCrystal
格林雷晶振GreenrayCrystal
SiTimeCrystalSiTimeCrystal
IDTcrystal晶振IDTcrystal
Pletronics晶振PletronicsCrystal
StatekCrystalStatekCrystal
AEK晶振AEKCrystal
AEL晶振AELcrystal
Cardinal晶振Cardinalcrystal
Crystek晶振Crystekcrystal
Euroquartz晶振Euroquartzcrystal
福克斯晶振FOXcrystal
Frequency晶振Frequencycrystal
GEYER晶振GEYERcrystal
ILSI晶振ILSIcrystal
KVG晶振KVGcrystal
MMDCOMP晶振MMDCOMPcrystal
MtronPTI晶振MtronPTIcrystal
QANTEK晶振QANTEKcrystal
QuartzCom晶振QuartzComcrystal
QuartzChnik晶振QuartzChnikcrystal
SUNTSU晶振SUNTSUcrystal
Transko晶振Transkocrystal
WI2WI晶振WI2WIcrystal
韩国三呢晶振SUNNY Crystal
ITTI晶振ITTICrystal
Oscilent晶振OscilentCrystal
ACT晶振ACTCrystal
Lihom晶振LihomCrystal
Rubyquartz晶振RubyquartzCrystal
SHINSUNG晶振SHINSUNGCrystal
PDI晶振PDICrystal
MTI-milliren晶振MTImillirenCrystal
IQD晶振IQDCrystal
Microchip晶振MicrochipCrystal
Silicon晶振SiliconCrystal
富通晶振FortimingCrystal
科尔晶振CORECrystal
NIPPON晶振NIPPONCrystal
NIC晶振NICCrystal
QVS晶振QVSCrystal
Bomar晶振BomarCrystal
百利晶振BlileyCrystal
GED晶振GEDCrystal
菲特罗尼克斯晶振FiltroneticsCrystal
STD晶振STDCrystal
Q-Tech晶振Q-TechCrystal
安德森晶振AndersonCrystal
文泽尔晶振WenzelCrystal
耐尔晶振NELCrystal
EM晶振EMCrystal
彼得曼晶振PETERMANNCrystal
FCD-Tech晶振FCD-TechCrystal
HEC晶振HECCrystal
FMI晶振FMICrystal
麦克罗比特晶振MacrobizesCrystal
AXTAL晶振AXTALCrystal
ARGO晶振
Skyworks晶振
Renesas瑞萨晶振
Dynamic迪拉尼
有源晶振 :
石英晶体振荡器
温补晶振
压控晶振
VC-TCXO晶振
差分晶振
32.768K有源
恒温晶振
贴片晶振 :
5070晶振
6035晶振
5032晶振
3225晶振
2520晶振
2016晶振
1612晶振
1210晶振
8045晶振
32.768K晶振 :
10.4x4.0晶振
8.0x3.8晶振
7.1x3.3晶振
7.0x1.5晶振
5.0x1.8晶振
4.1x1.5晶振
3.2x1.5晶振
2.0x1.2晶振
1.6x1.0晶振
为你解决国内外知名品牌产品料号代码,查询对照

在线品牌会员

当前位置首页 » 关于我们 » 压电石英晶体技术资料 » 石英晶振激光频率微调技术

石英晶振激光频率微调技术

返回列表 来源:CEOB2B晶振平台 浏览:- 发布日期:2018-03-16 09:30:37【

上一篇讲完了晶振的符号以及它的等效电路,本章节就来讲讲主要的石英晶振激光频率微调技术的知识要求,通过计算公式,理论和科学家们的实验结果来阐述。这项技艺的最终目的是为了在同样的时间里,在加大生产数量的同时,保障石英晶振的质量,稳定性和优良的电气特性。
  本世纪以来,一些文献、专利[36提出了用激光对晶片(SiO2)进行照射加工来进行频率微调。这种工艺一方面直接作用于石英晶体晶片,较易对晶片损伤较大,加工后的晶片表面形貌变化较大,性能改变较多;另一方面加工工艺仅限于局部照射,加工范围小,调节量有限。此种方法一直未有产品问世。
  本课题所提出的激光频率微调技术,利用激光器发出的脉冲激光束聚焦成很本课题所提出的激光频率微调技术,利用激光器发出的脉冲激光束聚焦成很本课题所提出的激光频率微调技术,利用激光器发出的脉冲激光束聚焦成很激光作用于贴片石英晶振晶片表面的电极层,不会对晶片直接构成损伤;另一方面既可局部照射,又可大范围扫描,甚至刻蚀图形,十分灵活方便。
  国内有文章提出高强度激光束垂直刻蚀电极对膜层内部甚至对晶体结构会造成不同程度的破坏,对产品的电性能产生不良影响,诸如噪声相位精度、电阻及稳定性都会受到影响[33]。但在国际及国内的文献中,已经出现了用激光照射晶振本身的方法来进行频率微调的报导[16-18],支持了该项技术的可行性。如果激光直接作用于晶片都不会对晶振产生不良影响,那么激光作用于晶振表面电极层则影响更小,可行性更高。由于非直接接触,激光频率微调并不会造成晶片表面温升过高,因而不会产生易被氧化的问题;同时,减薄银层的微调方法不会产生膜层结合力差的问题;并且,由于激光具有高度的方向性,其光斑只有几平方毫米,因而移动方便,定位准确,可以用于多片同时微调,这就大大提高了生产率。此外,激光加工的灵活性,允许加工成任意的图形,这就对其应用范围没有限制,可以应用于各种形状的石英晶体谐振器。这种结合了成熟的激光加工工艺和频率检测工艺的新技术在提高晶振精确度满足工业需要的同时,还可以大大提高生产效率,具有广阔的应用前景,该项技术目前尚处研究阶段。激光、激光的基本原理:
  激光的英文名称是Laser,是“ Light Amplification by Stimulated Emission of Radiation”的缩写。顾名思义,它表示一种受激辐射光放大发射器,也表示受激辐射光放大发射光,简称受激光发射器或受激发射光或光激射器。下面简单介绍下激光产生的原理[33]
自然光的产生:
  普通光源的发光是由于原子能级的跃迁而产生的自发辐射,其辐射光频率或波长)与跃迁能级之间的关系可以用下式表达:

V=(E2-E1)/h

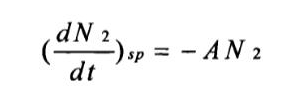
式中E2为上能级能量,E1为下能级能量,v为辐射光频率,h为普朗克常数这些发光原子是大量独立振子,振子的自发辐射光波不是单色的,不同振子发出的光波的相位也是随机变化的,所以自然光不是单频相干光假设住t时刻上能级的粒子数为N2,由于自发辐射,这些粒子的衰减速率为:

JGPLWTJS1

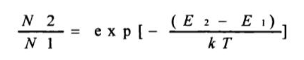
式中A为自发辐射几率,量Tsp=1/A为自发发射寿命根据玻尔兹曼统计分布,在热平衡状态下,上能级粒子数N2,远较下能级粒子数N1为少,它服从公式:

JGPLWTJS2

这里k为玻尔兹曼常数,T为绝对温度。

由此可见,自发辐射产生的自然光能量很弱:SMD石英晶体频率并不单一;位相并不恒定;光的方向也是无规则的。这种山大量独立振子自发辐射产生的自然光只相当于种光频范围的随机“噪声”,很难达到较高的相干光强。从本质上讲,自发跃迁是一种只与原子本身性质有关而与辐射场无关的自发辐射过程。