欢迎来到CEOB2B晶振平台

咨询热线:

0755-27839045

日产进口晶振 :
KDS晶振KDScrystal
爱普生晶振EPSONcrystal
NDK晶振NDKcrystal
京瓷晶振KyoceraCrystal
精工晶振SEIKOcrystal
西铁城晶振CITIZENcrystal
村田晶振MurataCrystal
大河晶振RiverCrystal
富士晶振FujicomCrystal
SMI晶振SMICrystal
NAKA晶振NAKACrystal
NJR晶振NJRCrystal
中国台产晶振 :
泰艺晶振TAITIENcrystal
TXC晶振TXCcrystal
鸿星晶振HOSONICcrystal
希华晶振SIWARDcrystal
加高晶振HELEcrystal
百利通亚陶晶振DiodesCrystal
嘉硕晶振TSTcrystal
津绽晶振NSKcrystal
玛居礼晶振MERCURYcrystal
应达利晶振Interquip Crystal
AKER晶振
NKG晶振NKGCrystal
欧美石英晶振 :
CTS晶振CTScrystal
微晶晶振Microcrystal
瑞康晶振RakonCrystal
康纳温菲尔德ConnorWinfield
高利奇晶振GolledgeCrystal
Jauch晶振JauchCrystal
AbraconCrystalAbraconCrystal
维管晶振VectronCrystal
ECScrystal晶振ECScrystal
日蚀晶振ECLIPTEKcrystal
拉隆晶振RaltronCrystal
格林雷晶振GreenrayCrystal
SiTimeCrystalSiTimeCrystal
IDTcrystal晶振IDTcrystal
Pletronics晶振PletronicsCrystal
StatekCrystalStatekCrystal
AEK晶振AEKCrystal
AEL晶振AELcrystal
Cardinal晶振Cardinalcrystal
Crystek晶振Crystekcrystal
Euroquartz晶振Euroquartzcrystal
福克斯晶振FOXcrystal
Frequency晶振Frequencycrystal
GEYER晶振GEYERcrystal
ILSI晶振ILSIcrystal
KVG晶振KVGcrystal
MMDCOMP晶振MMDCOMPcrystal
MtronPTI晶振MtronPTIcrystal
QANTEK晶振QANTEKcrystal
QuartzCom晶振QuartzComcrystal
QuartzChnik晶振QuartzChnikcrystal
SUNTSU晶振SUNTSUcrystal
Transko晶振Transkocrystal
WI2WI晶振WI2WIcrystal
韩国三呢晶振SUNNY Crystal
ITTI晶振ITTICrystal
Oscilent晶振OscilentCrystal
ACT晶振ACTCrystal
Lihom晶振LihomCrystal
Rubyquartz晶振RubyquartzCrystal
SHINSUNG晶振SHINSUNGCrystal
PDI晶振PDICrystal
MTI-milliren晶振MTImillirenCrystal
IQD晶振IQDCrystal
Microchip晶振MicrochipCrystal
Silicon晶振SiliconCrystal
富通晶振FortimingCrystal
科尔晶振CORECrystal
NIPPON晶振NIPPONCrystal
NIC晶振NICCrystal
QVS晶振QVSCrystal
Bomar晶振BomarCrystal
百利晶振BlileyCrystal
GED晶振GEDCrystal
菲特罗尼克斯晶振FiltroneticsCrystal
STD晶振STDCrystal
Q-Tech晶振Q-TechCrystal
安德森晶振AndersonCrystal
文泽尔晶振WenzelCrystal
耐尔晶振NELCrystal
EM晶振EMCrystal
彼得曼晶振PETERMANNCrystal
FCD-Tech晶振FCD-TechCrystal
HEC晶振HECCrystal
FMI晶振FMICrystal
麦克罗比特晶振MacrobizesCrystal
AXTAL晶振AXTALCrystal
ARGO晶振
Skyworks晶振
Renesas瑞萨晶振
Dynamic迪拉尼
有源晶振 :
石英晶体振荡器
温补晶振
压控晶振
VC-TCXO晶振
差分晶振
32.768K有源
恒温晶振
贴片晶振 :
5070晶振
6035晶振
5032晶振
3225晶振
2520晶振
2016晶振
1612晶振
1210晶振
8045晶振
32.768K晶振 :
10.4x4.0晶振
8.0x3.8晶振
7.1x3.3晶振
7.0x1.5晶振
5.0x1.8晶振
4.1x1.5晶振
3.2x1.5晶振
2.0x1.2晶振
1.6x1.0晶振
为你解决国内外知名品牌产品料号代码,查询对照

在线品牌会员

当前位置首页 » 新闻动态 » 图文详解无源晶体的等效电路与基本特性

图文详解无源晶体的等效电路与基本特性

返回列表 来源:CEOB2B晶振平台 浏览:- 发布日期:2018-05-29 09:20:47【

频率控制元器件晶振最特别的地方,就是拥有压电特性,这是其他电子元器件没有的,这种“压电效应”在电路中起到的作用非常大,相当于人体的心脏功能。石英晶振有多种不同的电路,有一些比较简单也有比较复杂的,等效电路是非常重要的一种,学习难度属于中等,接下来就为大家解释下什么是晶体的基本特性,和它的等效电路。

一、基本特性 

石英晶体具有"压电效应",即在晶片两面加上电场,晶片就会产生形变。相反,若在晶片上施加机械压力,则在晶片的相应方向上会产生一定的电场。因此,当晶片的两极加上交变电压时,晶片就会产生机械振动,同时晶片的机械振动又会产生交变电场。若从外电路来看,这就相当于有一交变电流通过晶片。在一般情况下,晶振机械振动的振幅是非常微小的,只有在外加交变电压的频率等于晶片的固有振荡频率时,振动的振幅和交变电流才突然增至最大,这种现象称为压电谐振,因此,石英晶体又称为石英谐振器。 

二、等效电路

JZDXDL1

石英晶体谐振器的符号和等效电路如图Z0813(a),(b)所示。当无源晶振不振动时,它相当于一个平行板电容C0,称为静态电容,其值仅与晶片的尺寸有关,一般约为几pF到几十pF。当晶片振动时,其等效电路应包含等效电感Lg、等效电容Cg和晶片振动时摩擦损耗的等效电阻Rg,它们的值分别为Lg≈1O-3~102H、Cg≈10-4~10-1pF、Rg~102Ω。由于晶片的Lg 很大,Cg、Rg,都很小,故Q=ωLg/Rg值极高,可达104~106,比一般LC回路Q值超出2~4个数量级。此外,由于它本身的固有振动频率很稳定,所以用它做成的振荡器,可获得很高的频率稳定度。

从石英谐振器的等效电路可知,它有两个谐振频率,一个是串联谐振频率fS,它是Lg、Cg、Rg支路谐振时的频率。即:

JZDXDL2

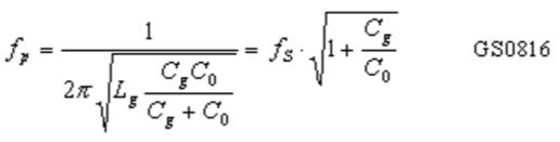
另一个是并联谐振频率fp,它是等效电路的谐振频率。即:

JZDXDL3

由于Cg

SMD晶振的等效电路可以求出它的电抗频率特性,如图Z0814所示。在fS与fp 之间,呈电感性,在此区域以外,呈电容性。

JZDXDL4

推荐阅读

    【本文标签】:石英晶体谐振器 晶振等效电路
    【责任编辑】:CEOB2B晶振平台版权所有:http://www.jingzhen95.com转载请注明出处