欢迎来到CEOB2B晶振平台

咨询热线:

0755-27839045

日产进口晶振 :
KDS晶振KDScrystal
爱普生晶振EPSONcrystal
NDK晶振NDKcrystal
京瓷晶振KyoceraCrystal
精工晶振SEIKOcrystal
西铁城晶振CITIZENcrystal
村田晶振MurataCrystal
大河晶振RiverCrystal
富士晶振FujicomCrystal
SMI晶振SMICrystal
NAKA晶振NAKACrystal
NJR晶振NJRCrystal
中国台产晶振 :
泰艺晶振TAITIENcrystal
TXC晶振TXCcrystal
鸿星晶振HOSONICcrystal
希华晶振SIWARDcrystal
加高晶振HELEcrystal
百利通亚陶晶振DiodesCrystal
嘉硕晶振TSTcrystal
津绽晶振NSKcrystal
玛居礼晶振MERCURYcrystal
应达利晶振Interquip Crystal
AKER晶振
NKG晶振NKGCrystal
欧美石英晶振 :
CTS晶振CTScrystal
微晶晶振Microcrystal
瑞康晶振RakonCrystal
康纳温菲尔德ConnorWinfield
高利奇晶振GolledgeCrystal
Jauch晶振JauchCrystal
AbraconCrystalAbraconCrystal
维管晶振VectronCrystal
ECScrystal晶振ECScrystal
日蚀晶振ECLIPTEKcrystal
拉隆晶振RaltronCrystal
格林雷晶振GreenrayCrystal
SiTimeCrystalSiTimeCrystal
IDTcrystal晶振IDTcrystal
Pletronics晶振PletronicsCrystal
StatekCrystalStatekCrystal
AEK晶振AEKCrystal
AEL晶振AELcrystal
Cardinal晶振Cardinalcrystal
Crystek晶振Crystekcrystal
Euroquartz晶振Euroquartzcrystal
福克斯晶振FOXcrystal
Frequency晶振Frequencycrystal
GEYER晶振GEYERcrystal
ILSI晶振ILSIcrystal
KVG晶振KVGcrystal
MMDCOMP晶振MMDCOMPcrystal
MtronPTI晶振MtronPTIcrystal
QANTEK晶振QANTEKcrystal
QuartzCom晶振QuartzComcrystal
QuartzChnik晶振QuartzChnikcrystal
SUNTSU晶振SUNTSUcrystal
Transko晶振Transkocrystal
WI2WI晶振WI2WIcrystal
韩国三呢晶振SUNNY Crystal
ITTI晶振ITTICrystal
Oscilent晶振OscilentCrystal
ACT晶振ACTCrystal
Lihom晶振LihomCrystal
Rubyquartz晶振RubyquartzCrystal
SHINSUNG晶振SHINSUNGCrystal
PDI晶振PDICrystal
MTI-milliren晶振MTImillirenCrystal
IQD晶振IQDCrystal
Microchip晶振MicrochipCrystal
Silicon晶振SiliconCrystal
富通晶振FortimingCrystal
科尔晶振CORECrystal
NIPPON晶振NIPPONCrystal
NIC晶振NICCrystal
QVS晶振QVSCrystal
Bomar晶振BomarCrystal
百利晶振BlileyCrystal
GED晶振GEDCrystal
菲特罗尼克斯晶振FiltroneticsCrystal
STD晶振STDCrystal
Q-Tech晶振Q-TechCrystal
安德森晶振AndersonCrystal
文泽尔晶振WenzelCrystal
耐尔晶振NELCrystal
EM晶振EMCrystal
彼得曼晶振PETERMANNCrystal
FCD-Tech晶振FCD-TechCrystal
HEC晶振HECCrystal
FMI晶振FMICrystal
麦克罗比特晶振MacrobizesCrystal
AXTAL晶振AXTALCrystal
ARGO晶振
Skyworks晶振
Renesas瑞萨晶振
Dynamic迪拉尼
有源晶振 :
石英晶体振荡器
温补晶振
压控晶振
VC-TCXO晶振
差分晶振
32.768K有源
恒温晶振
贴片晶振 :
5070晶振
6035晶振
5032晶振
3225晶振
2520晶振
2016晶振
1612晶振
1210晶振
8045晶振
32.768K晶振 :
10.4x4.0晶振
8.0x3.8晶振
7.1x3.3晶振
7.0x1.5晶振
5.0x1.8晶振
4.1x1.5晶振
3.2x1.5晶振
2.0x1.2晶振
1.6x1.0晶振
为你解决国内外知名品牌产品料号代码,查询对照

在线品牌会员

当前位置首页 » 关于我们 » 压电石英晶体技术资料 » 有关石英晶振激光频率微调的可行性研究分析

有关石英晶振激光频率微调的可行性研究分析

返回列表 来源:CEOB2B晶振平台 浏览:- 发布日期:2018-03-20 08:51:12【

CEOB2B晶振平台在前面的文章中介绍了石英晶振频率微调技术的原理以及其优缺点分析对比。下面我们要讲的是有关石英晶振激光频率微调的可行性研究分析。

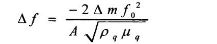
Sauerbrey发现,若在石英晶体的电极表面加上一小质量负载层,将导致晶振频率的显著下降。Sauerbrey将质量负载层等效于晶体的厚度增加,从理论上导出了晶体表面负载物质质量与谐振频移的关系即 Sauerbrey方程:

F

其中fo为石英晶振原始谐振频率(Hz),4为由质量变化引起的石英晶振的频率偏移(HLz),△m此处为晶振表面电极层质量变化(g),A是石英晶体有效面积(即两电极间的面积)(cm2),p是石英晶体的密度(gcm3),H为晶体剪切弹性模数(gcm-1,s-2)。由于频率测定可以达到很高的精度,估计检测限可达10-12g,因此利用这一特性,振动的石英晶振晶体可以制成非常灵敏的质量检测器一石英晶体微天平( quartz crystal microbalance,QCM)。

对于指定晶片,foApμHμ均为常数,因而,f△m的绝对值成正比,负号表示表面银电极层质量的增加,会引起石英晶体谐振频率的减少;而表面银电极层质量的减少,会引起石英晶体谐振频率的增加。即:增加银层质量和减少银层质量两种方法都可以改变石英晶振的谐振频率。

对于本课题来说,已知:石英密度pμ2.648gcm-3,石英剪切模量μφ2.947×1011gcm-1.s-2,银的密度pAg10.53g/cm-3以下以初始谐振频率为20M石英晶振为例,来计算要达到50ppm精度的频率微调量,需要均匀扫描掉多厚的电极银层。

首先,假定以下几点

1.石英晶体振荡器的有效面积 active area of the crysta)即为整个晶片表面积。

2.对石英晶体的扫描是对整个双面电极层均匀全部扫描;

3.石英晶片表面有效面积A0.16cm2

4.单面电极银层表面积An0.1cm2

若要产生50ppm的频率改变量,4f=50ppmn×20MHz=1000Hz,代入上述Sauerbrey公式,则可计算出需要电极银层质量变化△m=3.5335×107g由于质量变化在实验过程中并不是一个容易测量的量,而电极银层的厚度变化不仅能在客观上反映本身的质量变化,还是实验过程中较容易控制和测量的量,故以下将此质量△m变化转化为厚度变化△t

△m=pAg×pAg×△t

则可算得要产生50ppm的频率微调量,银电极层厚度变化为3355A,单面电极银层的厚度变化约为1677A

根据电极银层厚度变化量与石英贴片晶振频率变化量之间的线性关系,可知若要产生 Ippm的频率改变量,则厚度变化量为67A。而银原子直径为288A,所以可以通过对银原子逐层剥落的方式来实现指定精度的频率微调。