RENESAS OSCILLATOR,XUL735200.000000I晶振,200M差分晶振,RENESAS晶振公司,进口晶振,石英晶振,瑞萨晶振,有源晶振,六脚晶振,贴片晶振,高品质晶振, 差分晶振,LVDS晶振,高精度晶振,低损耗晶振,航空航天晶振。XU器件是低相位噪声石英基锁相环振荡器,支持大范围的频率和输出接口类型。这些器件设计用于在三种不同的电源下工作,并提供多种封装尺寸和温度等级。凭借获得专利的一次性程序(OTP),允许无限的存储保质期,XU设备可以编程产生从16kHz到1500MHz的输出频率,分辨率低至1Hz精度。该系列设备的配置能力允许样品和大型生产订单的快速交付时间。
频率范围:0.016MHz至1500MHz,输出类型:LVDS, LVPECL, HCSL, LVCMOS,电源电压选项:1.8V, 2.5V或3.3V,相位抖动(1.875MHz至20MHz): 100fs典型,?相位抖动(12kHz至20MHz): 300fs典型,封装选项:7.0 × 5.0 × 1.3 mm,工作温度:-20°C至+70°C,频率稳定性选项:±20,±25,±50或±100 ppm,工作温度:-40°C至+85°C,频率稳定性选项:±25,±50或±100 ppm,工作温度:-40°C至+105°C频率稳定性选项:±50或±100 ppm
RENESAS OSCILLATOR,XUL735200.000000I晶振,200M差分晶振
| Symbol | Parameter | Test Condition | Minimum | Typical | Maximum | Units |
| F | 输出频率范围 | LVDS. | 0.016 | 1500 | MHz | |
| LVPECL, HCSL. | 0.016 | 670 | ||||
| LVCMOS. | 0.016 | 167 | ||||
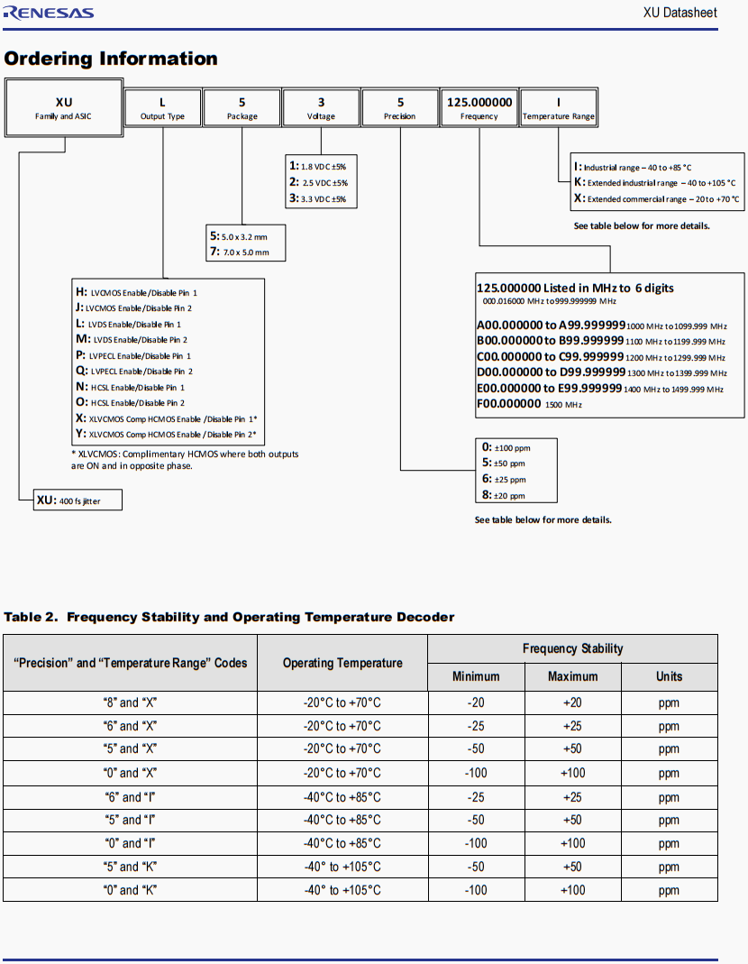
| 频率稳定度 | Temperature = -20°C to +70°C. |
-20
-25
-50
-100 |
+20
+25
+50
+100 |
ppm | ||
| Temperature = -40°C to +85°C. |
-25
-50
-100
|
+25
+50
+100
|
ppm | |||
| Temperature = -40°C to +105°C. |
-50
-100 |
+50
+100 |
ppm | |||
| 输出负载 | LVDS. | 100 | Ω | |||
| LVPECL. | 50 | |||||
| HCSL. | 50 | |||||
| LVCMOS. | 15 | pF | ||||
| TST | 启动时间 | Output valid time after VDD meets minimum specified level. | 10 | ms | ||
| tR | 输出上升时间 | LVDS. | 275 | 380 | ps | |
| LVPECL. | 400 | |||||
| HCSL. | 330 | |||||
| LVCMOS. | 3 | ns | ||||
| tF | 输出下降时间 | LVDS. | 275 | 380 | ps | |
| LVPECL. | 400 | |||||
| HCSL. | 330 | |||||
| LVCMOS. | 3 | ns | ||||
| ODC | 输出时钟工作周期 | LVDS. | 45 | 55 | % | |
| LVPECL. | 45 | 55 | ||||
| 40 | 60 | |||||
| HCSL. | 45 | 55 | ||||
| LVCMOS. | 45 | 55 | ||||
| 40 | 60 | |||||
| TOE | 输出启用/禁用时间 | 100 | ns |
RENESAS OSCILLATOR,XUL735200.000000I晶振,200M差分晶振
| Renesas原厂编码 | 生产商品牌 | 型号 | 频率 | 输出 | 电源电压 | 频率稳定度 | 工作温度 |
| XUL535100.000000I | Renesas晶振 | XU | 100 MHz | LVDS | 3.3V | ±50ppm | -40°C ~ 85°C |
| XUL516100.000000I | Renesas晶振 | XU | 100 MHz | LVDS | 1.8V | ±25ppm | -40°C ~ 85°C |
| XUN535100.000000I | Renesas晶振 | XU | 100 MHz | HCSL | 3.3V | ±50ppm | -40°C ~ 85°C |
| XUL536100.000000I | Renesas晶振 | XU | 100 MHz | LVDS | 3.3V | ±25ppm | -40°C ~ 85°C |
| XUL536125.000000I | Renesas晶振 | XU | 125 MHz | LVDS | 3.3V | ±25ppm | -40°C ~ 85°C |
| XUL536156.250000I | Renesas晶振 | XU | 156.25 MHz | LVDS | 3.3V | ±25ppm | -40°C ~ 85°C |
| XUH518027.120000X | Renesas晶振 | XU | 27.12 MHz | HCMOS | 1.8V | ±20ppm | -20°C ~ 70°C |
| XUH538024.576000X | Renesas晶振 | XU | 24.576 MHz | HCMOS | 3.3V | ±20ppm | -20°C ~ 70°C |
| XUH738016.125000X | Renesas晶振 | XU | 16.125 MHz | HCMOS | 3.3V | ±20ppm | -20°C ~ 70°C |
| XUH738044.736000X | Renesas晶振 | XU | 44.736 MHz | HCMOS | 3.3V | ±20ppm | -20°C ~ 70°C |
| XUH518033.333333X | Renesas晶振 | XU | 33.333333 MHz | HCMOS | 1.8V | ±20ppm | -20°C ~ 70°C |
| XUH738072.000000X | Renesas晶振 | XU | 72 MHz | HCMOS | 3.3V | ±20ppm | -20°C ~ 70°C |
| XUH738022.579200X | Renesas晶振 | XU | 22.5792 MHz | HCMOS | 3.3V | ±20ppm | -20°C ~ 70°C |
| XUH538027.000000X | Renesas晶振 | XU | 27 MHz | HCMOS | 3.3V | ±20ppm | -20°C ~ 70°C |
| XUH538022.579200X | Renesas晶振 | XU | 22.5792 MHz | HCMOS | 3.3V | ±20ppm | -20°C ~ 70°C |
| XUH728025.000000X | Renesas晶振 | XU | 25 MHz | HCMOS | 2.5V | ±20ppm | -20°C ~ 70°C |
| XUH538013.000000X | Renesas晶振 | XU | 13 MHz | HCMOS | 3.3V | ±20ppm | -20°C ~ 70°C |
| XUH728016.125000X | Renesas晶振 | XU | 16.125 MHz | HCMOS | 2.5V | ±20ppm | -20°C ~ 70°C |
| XUH538067.108864X | Renesas晶振 | XU | 67.108864 MHz | HCMOS | 3.3V | ±20ppm | -20°C ~ 70°C |
| XUH538125.000000X | Renesas晶振 | XU | 125 MHz | HCMOS | 3.3V | ±20ppm | -20°C ~ 70°C |
| XUH535004.000000X | Renesas晶振 | XU | 4 MHz | LVCMOS | 3.3V | ±50ppm | -20°C ~ 70°C |
| XUH515045.125000I | Renesas晶振 | XU | 45.125 MHz | LVCMOS | 1.8V | ±50ppm | -40°C ~ 85°C |
| XUH525125.000000I | Renesas晶振 | XU | 125 MHz | LVCMOS | 2.5V | ±50ppm | -40°C ~ 85°C |
| XUH516033.333300I | Renesas晶振 | XU | 33.3333 MHz | LVCMOS | 1.8V | ±25ppm | -40°C ~ 85°C |
| XUH536090.000000I | Renesas晶振 | XU | 90 MHz | LVCMOS | 3.3V | ±25ppm | -40°C ~ 85°C |
| XUH536005.000000I8 | Renesas晶振 | XU | 5 MHz | LVCMOS | 3.3V | ±25ppm | -40°C ~ 85°C |
| XUL530039.000000X | Renesas晶振 | XU | 39 MHz | LVDS | 3.3V | ±100ppm | -20°C ~ 70°C |
| XUH516012.000000I | Renesas晶振 | XU | 12 MHz | LVCMOS | 1.8V | ±25ppm | -40°C ~ 85°C |
| XUH515100.000000K | Renesas晶振 | XU | 100 MHz | LVCMOS | 1.8V | ±50ppm | -40°C ~ 105°C |
| XUH535008.000000K | Renesas晶振 | XU | 8 MHz | LVCMOS | 3.3V | ±50ppm | -40°C ~ 105°C |
| XUH535025.000000K | Renesas晶振 | XU | 25 MHz | LVCMOS | 3.3V | ±50ppm | -40°C ~ 105°C |
| XUL515644.530000I | Renesas晶振 | XU | 644.53 MHz | LVDS | 1.8V | ±50ppm | -40°C ~ 85°C |
| XUL526644.530000I | Renesas晶振 | XU | 644.53 MHz | LVDS | 2.5V | ±25ppm | -40°C ~ 85°C |
| XUH738020.000000X | Renesas晶振 | XU | 20 MHz | HCMOS | 3.3V | ±20ppm | -20°C ~ 70°C |
| XUH538010.000000X | Renesas晶振 | XU | 10 MHz | HCMOS | 3.3V | ±20ppm | -20°C ~ 70°C |
| XUH538020.000000X | Renesas晶振 | XU | 20 MHz | HCMOS | 3.3V | ±20ppm | -20°C ~ 70°C |
| XUH538040.000000X | Renesas晶振 | XU | 40 MHz | HCMOS | 3.3V | ±20ppm | -20°C ~ 70°C |
| XUH535003.686000I | Renesas晶振 | XU | 3.686 MHz | LVCMOS | 3.3V | ±50ppm | -40°C ~ 85°C |
| XUH510100.000000X | Renesas晶振 | XU | 100 MHz | HCMOS | 1.8V | ±100ppm | -20°C ~ 70°C |
| XUH535000.127700K | Renesas晶振 | XU | 127.7 kHz | HCMOS | 3.3V | ±50ppm | -40°C ~ 105°C |
| XUH535000.050000X | Renesas晶振 | XU | 50 kHz | HCMOS | 3.3V | ±50ppm | -20°C ~ 70°C |
| XUH515020.000000K | Renesas晶振 | XU | 20 MHz | HCMOS | 1.8V | ±50ppm | -40°C ~ 105°C |
| XUH535025.000000X | Renesas晶振 | XU | 25 MHz | HCMOS | 3.3V | ±50ppm | -20°C ~ 70°C |
| XUH535100.000000X | Renesas晶振 | XU | 100 MHz | HCMOS | 3.3V | ±50ppm | -20°C ~ 70°C |
| XUH535000.192000X | Renesas晶振 | XU | 192 kHz | HCMOS | 3.3V | ±50ppm | -20°C ~ 70°C |
| XUH730049.700000X | Renesas晶振 | XU | 49.7 MHz | HCMOS | 3.3V | ±100ppm | -20°C ~ 70°C |
| XUL535644.531250I | Renesas晶振 | XU | 644.53125 MHz | LVDS | 3.3V | ±50ppm | -40°C ~ 85°C |
| XUH535017.177600X | Renesas晶振 | XU | 17.1776 MHz | HCMOS | 3.3V | ±50ppm | -20°C ~ 70°C |
| XUH535048.000000X | Renesas晶振 | XU | 48 MHz | HCMOS | 3.3V | ±50ppm | -20°C ~ 70°C |
| XUH510133.333000X | Renesas晶振 | XU | 133.333 MHz | HCMOS | 1.8V | ±100ppm | -20°C ~ 70°C |
| XUH535000.042000X | Renesas晶振 | XU | 42 kHz | HCMOS | 3.3V | ±50ppm | -20°C ~ 70°C |
| XUH535024.000000X | Renesas晶振 | XU | 24 MHz | HCMOS | 3.3V | ±50ppm | -20°C ~ 70°C |
| XUH535012.000000X | Renesas晶振 | XU | 12 MHz | HCMOS | 3.3V | ±50ppm | -20°C ~ 70°C |
| XUH525010.000000X | Renesas晶振 | XU | 10 MHz | HCMOS | 2.5V | ±50ppm | -20°C ~ 70°C |
| XUH535000.044000X | Renesas晶振 | XU | 44 kHz | HCMOS | 3.3V | ±50ppm | -20°C ~ 70°C |
| XUH535000.096000X | Renesas晶振 | XU | 96 kHz | HCMOS | 3.3V | ±50ppm | -20°C ~ 70°C |
| XUH525024.000000X | Renesas晶振 | XU | 24 MHz | HCMOS | 2.5V | ±50ppm | -20°C ~ 70°C |
| XUH530000.460800X | Renesas晶振 | XU | 460.8 kHz | HCMOS | 3.3V | ±100ppm | -20°C ~ 70°C |
| XUH530000.032768X | Renesas晶振 | XU | 32.768 kHz | LVCMOS | 3.3V | ±100ppm | -20°C ~ 70°C |
| XUH518090.000000X | Renesas晶振 | XU | 90 MHz | LVCMOS | 1.8V | ±20ppm | -20°C ~ 70°C |
| XUL535075.000000I | Renesas晶振 | XU | 75 MHz | LVDS | 3.3V | ±50ppm | -40°C ~ 85°C |
| XUH518033.000000X | Renesas晶振 | XU | 33 MHz | LVCMOS | 1.8V | ±20ppm | -20°C ~ 70°C |
| XUH518124.000000X | Renesas晶振 | XU | 124 MHz | LVCMOS | 1.8V | ±20ppm | -20°C ~ 70°C |
| XUN535100.000000X | Renesas晶振 | XU | 100 MHz | HCSL | 3.3V | ±50ppm | -20°C ~ 70°C |
| XUH516125.000000I | Renesas晶振 | XU | 125 MHz | HCMOS | 1.8V | ±25ppm | -40°C ~ 85°C |
| XUM520125.000000X | Renesas晶振 | XU | 125 MHz | LVDS | 2.5V | ±100ppm | -20°C ~ 70°C |
| XUP535024.576000X | Renesas晶振 | XU | 24.576 MHz | LVPECL | 3.3V | ±50ppm | -20°C ~ 70°C |
| XUH526024.000000I | Renesas晶振 | XU | 24 MHz | HCMOS | 2.5V | ±25ppm | -40°C ~ 85°C |
| XUP535100.000000X | Renesas晶振 | XU | 100 MHz | LVPECL | 3.3V | ±50ppm | -20°C ~ 70°C |
| XUL525100.000000X | Renesas晶振 | XU | 100 MHz | LVDS | 2.5V | ±50ppm | -20°C ~ 70°C |
| XUH526016.384000I | Renesas晶振 | XU | 16.384 MHz | HCMOS | 2.5V | ±25ppm | -40°C ~ 85°C |
| XUH536100.000000I | Renesas晶振 | XU | 100 MHz | HCMOS | 3.3V | ±25ppm | -40°C ~ 85°C |
| XUP535075.000000X | Renesas晶振 | XU | 75 MHz | LVPECL | 3.3V | ±50ppm | -20°C ~ 70°C |
| XUO535027.000000X | Renesas晶振 | XU | 27 MHz | HCSL | 3.3V | ±50ppm | -20°C ~ 70°C |
| XUH516033.333333I | Renesas晶振 | XU | 33.333333 MHz | HCMOS | 1.8V | ±25ppm | -40°C ~ 85°C |
| XUH516024.000000I | Renesas晶振 | XU | 24 MHz | LVCMOS | 1.8V | ±25ppm | -40°C ~ 85°C |
| XUH516026.000000I | Renesas晶振 | XU | 26 MHz | LVCMOS | 1.8V | ±25ppm | -40°C ~ 85°C |
| XUH516031.250000I | Renesas晶振 | XU | 31.25 MHz | LVCMOS | 1.8V | ±25ppm | -40°C ~ 85°C |
| XUH535133.300000I | Renesas晶振 | XU | 133.3 MHz | LVCMOS | 3.3V | ±50ppm | -40°C ~ 85°C |
| XUH516000.032768I | Renesas晶振 | XU | 32.768 kHz | LVCMOS | 1.8V | ±25ppm | -40°C ~ 85°C |
| XUL535156.250000I | Renesas晶振 | XU | 156.25 MHz | LVDS | 3.3V | ±50ppm | -40°C ~ 85°C |
| XUH515033.000000K | Renesas晶振 | XU | 33 MHz | LVCMOS | 1.8V | ±50ppm | -40°C ~ 105°C |
| XUH510025.000000K | Renesas晶振 | XU | 25 MHz | LVCMOS | 1.8V | ±100ppm | -40°C ~ 105°C |
| XUL538750.000000X | Renesas晶振 | XU | 750 MHz | LVDS | 3.3V | ±20ppm | -20°C ~ 70°C |
| XUL510125.000000I | Renesas晶振 | XU | 125 MHz | LVDS | 1.8V | ±100ppm | -40°C ~ 85°C |
| XUH538033.000000X | Renesas晶振 | XU | 33 MHz | LVCMOS | 3.3V | ±20ppm | -20°C ~ 70°C |
| XUH518001.843200X | Renesas晶振 | XU | 1.8432 MHz | LVCMOS | 1.8V | ±20ppm | -20°C ~ 70°C |
| XUX515024.000000I | Renesas晶振 | XU | 24 MHz | HCMOS, LVCMOS | 1.8V | ±50ppm | -40°C ~ 85°C |
| XUL538098.304000X | Renesas晶振 | XU | 98.304 MHz | LVDS | 3.3V | ±20ppm | -20°C ~ 70°C |
| XUH518031.250000X | Renesas晶振 | XU | 31.25 MHz | LVCMOS | 1.8V | ±20ppm | -20°C ~ 70°C |
| XUH536025.000000I | Renesas晶振 | XU | 25 MHz | HCMOS | 3.3V | ±25ppm | -40°C ~ 85°C |
| XUH536033.333330I | Renesas晶振 | XU | 33.33333 MHz | HCMOS | 3.3V | ±25ppm | -40°C ~ 85°C |
| XUH536030.000000I | Renesas晶振 | XU | 30 MHz | HCMOS | 3.3V | ±25ppm | -40°C ~ 85°C |
| XUH536025.001250I | Renesas晶振 | XU | 25.00125 MHz | HCMOS | 3.3V | ±25ppm | -40°C ~ 85°C |
| XUH735148.500000I | Renesas晶振 | XU | 148.5 MHz | HCMOS | 3.3V | ±50ppm | -40°C ~ 85°C |
| XUH516100.000000I | Renesas晶振 | XU | 100 MHz | HCMOS | 1.8V | ±25ppm | -40°C ~ 85°C |
| XUH536025.600000I | Renesas晶振 | XU | 25.6 MHz | HCMOS | 3.3V | ±25ppm | -40°C ~ 85°C |
| XUH526000.828000I | Renesas晶振 | XU | 828 kHz | HCMOS | 2.5V | ±25ppm | -40°C ~ 85°C |
| XUH736025.000000I | Renesas晶振 | XU | 25 MHz | HCMOS | 3.3V | ±25ppm | -40°C ~ 85°C |
| XUH536033.333300I | Renesas晶振 | XU | 33.3333 MHz | HCMOS | 3.3V | ±25ppm | -40°C ~ 85°C |
| XUH516030.000000I | Renesas晶振 | XU | 30 MHz | HCMOS | 1.8V | ±25ppm | -40°C ~ 85°C |
| XUH536125.000000I | Renesas晶振 | XU | 125 MHz | HCMOS | 3.3V | ±25ppm | -40°C ~ 85°C |
| XUH536050.000000I | Renesas晶振 | XU | 50 MHz | HCMOS | 3.3V | ±25ppm | -40°C ~ 85°C |
| XUH715133.330000I | Renesas晶振 | XU | 133.33 MHz | HCMOS | 1.8V | ±50ppm | -40°C ~ 85°C |
| XUH716125.000000I | Renesas晶振 | XU | 125 MHz | HCMOS | 1.8V | ±25ppm | -40°C ~ 85°C |
| XUH536000.032768I | Renesas晶振 | XU | 32.768 kHz | HCMOS | 3.3V | ±25ppm | -40°C ~ 85°C |
| XUH536000.050000I | Renesas晶振 | XU | 50 kHz | HCMOS | 3.3V | ±25ppm | -40°C ~ 85°C |
| XUH536010.000000I | Renesas晶振 | XU | 10 MHz | HCMOS | 3.3V | ±25ppm | -40°C ~ 85°C |
| XUH515160.000000I | Renesas晶振 | XU | 160 MHz | HCMOS | 1.8V | ±50ppm | -40°C ~ 85°C |
| XUH535156.250000I | Renesas晶振 | XU | 156.25 MHz | HCMOS | 3.3V | ±50ppm | -40°C ~ 85°C |
| XUH516026.214400I | Renesas晶振 | XU | 26.2144 MHz | HCMOS | 1.8V | ±25ppm | -40°C ~ 85°C |
| XUH536020.000000I | Renesas晶振 | XU | 20 MHz | HCMOS | 3.3V | ±25ppm | -40°C ~ 85°C |
| XUH516120.000000X | Renesas晶振 | XU | 120 MHz | HCMOS | 1.8V | ±25ppm | -20°C ~ 70°C |
| XUH535000.034133I | Renesas晶振 | XU | 34.133 kHz | HCMOS | 3.3V | ±50ppm | -40°C ~ 85°C |
| XUH516025.000000X | Renesas晶振 | XU | 25 MHz | HCMOS | 1.8V | ±25ppm | -20°C ~ 70°C |
| XUM516156.250000I | Renesas晶振 | XU | 156.25 MHz | LVDS | 1.8V | ±25ppm | -40°C ~ 85°C |
| XUL538161.132813X | Renesas晶振 | XU | 161.132813 MHz | LVDS | 3.3V | ±20ppm | -20°C ~ 70°C |
| XUH526110.000000I | Renesas晶振 | XU | 110 MHz | LVCMOS | 2.5V | ±25ppm | -40°C ~ 85°C |
| XUH530000.500000I | Renesas晶振 | XU | 500 kHz | HCMOS | 3.3V | ±100ppm | -40°C ~ 85°C |
| XUH515100.000000I | Renesas晶振 | XU | 100 MHz | HCMOS | 1.8V | ±50ppm | -40°C ~ 85°C |
| XUH535000.100000I | Renesas晶振 | XU | 100 kHz | HCMOS | 3.3V | ±50ppm | -40°C ~ 85°C |
| XUH525050.000000I | Renesas晶振 | XU | 50 MHz | HCMOS | 2.5V | ±50ppm | -40°C ~ 85°C |
| XUH515025.000000I | Renesas晶振 | XU | 25 MHz | HCMOS | 1.8V | ±50ppm | -40°C ~ 85°C |
| XUH535156.257000X | Renesas晶振 | XU | 156.257 MHz | HCMOS | 3.3V | ±50ppm | -20°C ~ 70°C |
| XUH515028.636360I | Renesas晶振 | XU | 28.63636 MHz | HCMOS | 1.8V | ±50ppm | -40°C ~ 85°C |
| XUH525025.000000I | Renesas晶振 | XU | 25 MHz | HCMOS | 2.5V | ±50ppm | -40°C ~ 85°C |
| XUH536025.001250X | Renesas晶振 | XU | 25.00125 MHz | HCMOS | 3.3V | ±25ppm | -20°C ~ 70°C |
| XUH515125.000000I | Renesas晶振 | XU | 125 MHz | HCMOS | 1.8V | ±50ppm | -40°C ~ 85°C |
服务热线:0755-27839045
Q Q联系:262320519
邮箱:szceob2b@163.com


